Ognitanto capita di dover risolvere un circuito col metodo dei nodi. Si può far lavorare uno Spice qualunque, ma tanto per cambiare facciamo fare a MATLAB i conti. Forse un "vantaggio" sta nel rimanere nel mondo "analitico".
En passant un rapido esempio di come rappresentare i diagrammi di Bode con MATLAB, utilizzando delle variabili simboliche.
Attenzione: i codici sono piuttosto pesanti, ho inserito i miei tempi di esecuzione per dare un'idea. Se qualcuno ne esegue di simili, potrebbe commentare con i suoi tempi di esecuzione ed i dati della sua macchina?
Indice |
Diagrammi di Bode
Funzioni utili
1i è il modo consigliato dalla MathWorks per scrivere i, l'unità immaginaria.
syms: crea rapidamente delle variabili simboliche. I nomi delle variabli vanno separati da uno spazio. Alle variabili simboliche può essere in seguito sostituito un numero.
matlabFunction(funzione_simbolica) permette di trasformare una funzione simbolica in una "MATLAB function", con cui MATLAB fa i conti più rapidamente rispetto ad una symfun simbolica.
plotyy plotta due funzioni sullo stesso grafico, con assi delle ordinate diversi. Molto utile per i diagrammi di Bode. Su questa funzione ho scritto un altro articolo d'esempio, Disegnare grafici a doppia scala con MATLAB.
Vettori_uniti = [vettore1, vettore2, vettore3, ...] concatena due o più vettori sulla stessa riga. Utile per creare assi delle ascisse a step non omogeneo.
abs restituisce il modulo di un numero.
phase restituisce la fase, in radianti, di un numero complesso.
radtodeg prende un numero in radianti e lo restituisce in gradi.
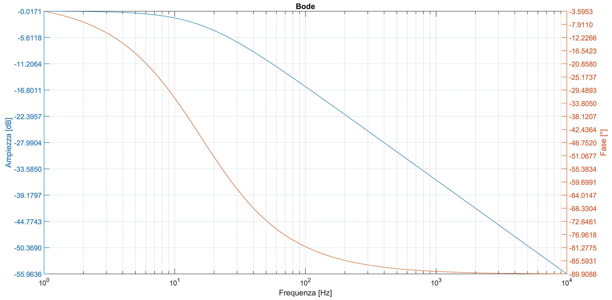
Esempio, filtro passa basso del primo ordine
Funzione di trasferimento:
Codice MATLAB
Tempo di esecuzione col workspace pulito: 2.2 s su un vecchio Intel Core 2 Quad da 2.5 GHz.
%Crea le due variabili simboliche, istanzia s
syms s f;
s = 1i*(2*pi*f); %s = jw, w = 2*pi*f
R = 10e3; %10 kOhm
C = 1e-6; %1 uF
%Funzione di trasferimento
Htrasf = 1/(1 + s*C*R);
%Per comodità due funzioni differenti per modulo e fase
H_modulo = matlabFunction(20*log10(abs(Htrasf)));
H_fase = matlabFunction(radtodeg(phase(Htrasf)));
%Vettore delle frequenze, ascisse del diagramma di Bode
freq = [1 : 0.1 : 100, 101 : 1 : 1e4];
%hold on per visualizzare la griglia.
figure();
hold on;
grid on;
%Grafico con due assi delle ordinate
[ax, a, p] = plotyy(freq, H_modulo(freq), freq, H_fase(freq));
%Le operazioni di calcolo del minimo e del massimo sono lunghe (in
%questo caso), conviene farlo una volta sola.
modulo_min = double(min(H_modulo(freq)));
modulo_max = double(max(H_modulo(freq)));
fase_min = double(min(H_fase(freq)));
fase_max = double(max(H_fase(freq)));
%Titolo e nomi degli assi
title(['Bode']);
xlabel('Frequenza [Hz]');
ylabel(ax(1),'Ampiezza [dB]');
ylabel(ax(2),'Fase [°]');
%Imposta i limiti degli assi.
ax(1).XLim = [min(freq), max(freq)];
ax(2).XLim = [min(freq), max(freq)];
ax(1).YLim = [modulo_min, modulo_max];
ax(2).YLim = [fase_min, fase_max];
%Imposta la scala logaritmica delle ascisse
set(ax(1),'xscale','log');
set(ax(2),'xscale','log');
%Calcola due vettori, uno per lo step delle ordinate1 (ampiezza)
%e l'altro per lo step delle ordinate2 (fase).
Ytick_ampiezza = modulo_min : (modulo_max -modulo_min)/10 : modulo_max;
Ytick_fase = fase_min : (fase_max -fase_min)/20 : fase_max;
%Imposta gli step dei due assi delle ordinate.
ax(1).YTick = Ytick_ampiezza;
ax(2).YTick = Ytick_fase;
Output del codice
Ulteriori commenti al codice:
Alla riga 16 il vettore delle frequenze è settato in modo da rappresentare adeguatamente il diagramma di Bode in esame, cercando di mantenere ragionevole il tempo di esecuzione. Modificarlo a piacere per restringere/allargare l'asse delle ascisse.
Alle righe 50 e 51 sono stati settati gli step degli assi delle ordinate. Modificare quel 10 (riga 50) e quel 20 (riga 51) per variare gli step.
Metodo dei nodi
Nota: diverse calcolatrici scientifiche non programmabili risolvono sistemi lineari 3x3 senza fiatare (tipo la mia Casio fx-991ES da 15€).
Per analizzare la stabilità del seguente circuito:
Si vuole rappresentare il diagramma di Bode del rapporto di ritorno T, calcolato col metodo di Rosenstark, con la VREF al riferimento e scegliendo di sostituire il pilotato dell'op amp con un generatore di test.
è il guadagno ad anello aperto dell'op amp.
I tre condensatori sono tre capacità parassite del MOS.
Forse ci sono altri metodi più furbi, ma ci si arma di pazienza e si identificano i nodi:
ZDS = r0 / / Cds
Sostituendo VGS = V1 − V2:
Per calcolare T serve vd = − V2.
Il comando di MATLAB che risolve sistemi lineari è \
Per evitare di commettere (troppi) errori nel scrivere la matrice simbolica su MATLAB si dà un nome ad ogni coefficiente, in questo modo:
Ho rimandato l'analisi del circuito al prossimo weekend, per cui per provare il codice ho tirato più o meno a caso i parametri.
Codice MATLAB
Tempo di esecuzione col workspace pulito: 11.3 s su un vecchio Intel Core 2 Quad da 2.5 GHz.
%Crea le variabili simboliche.
syms A B C D E F G H I N1 N2 N3 Vt s f;
%Definisce s.
s = 1i*(2*pi)*f;
%Definisce (per ora a caso) i parametri del circuito.
Ad = 1e6;
rout = 10e6;
Cgs = 50e-12;
Cgd = 50e-12;
Cds = 50e-12;
r0 = 10e3;
R1 = 56;
Zds = 1/(1/r0 +s*Cds);
gm = 10e-4;
ZL = 2;
%Definisce le variabili simboliche della matrice delle conduttanze.
A = -1/rout +s*(Cgs +Cgd);
B = -s*Cgs;
C = -s*Cgd;D = -s*Cgs +gm;
E = s*Cgs +1/R1 +1/Zds -gm;
F = -1/Zds;
G = -s*Cgd -gm;
H = -1/Zds +gm;
I = +s*Cgd +1/ZL +1/Zds;
%Definisce le variabili simboliche del vettore colonna delle correnti.
N1 = -Vt/rout;
N2 = 0;
N3 = 0;
%Crea la matrice delle conduttanze. Si potevano inserire direttamente
%le conduttanze, ma è molto più facile commettere errori.
Conduttanze = [A, B, C; D, E, F; G, H, I];
%Crea il vettore colonna (attenzione ai ;) delle correnti.
Correnti = [N1; N2; N3];
%Calcola le soluzioni e T.
soluzioni = Conduttanze\Correnti;
T = -Ad.*soluzioni(2)./Vt;
%Definisce per comodità due funzioni
H_modulo = matlabFunction(20*log10(abs(T)));
H_fase = matlabFunction(radtodeg(phase(T)));
%Definisce il vettore riga delle frequenze, ascissa di Bode.
freq = [1 : 1 : 1e3, 1e3 : 20 : 1e5, 1e5 : 80 : 1e8, 1e8 : 320 : 1e9];
%hold on per visualizzare la griglia.
figure();
hold on; grid on;
%Grafico con due assi delle ordinate
[ax, a, p] = plotyy(freq, H_modulo(freq), freq, H_fase(freq));
%Le operazioni di calcolo del minimo e del massimo sono lunghe (in
%questo caso), conviene farlo una volta sola.
modulo_min = double(min(H_modulo(freq)));
modulo_max = double(max(H_modulo(freq)));
fase_min = double(min(H_fase(freq)));
fase_max = double(max(H_fase(freq)));
%Titolo e nomi degli assi.
title(['Bode']);
xlabel('Frequenza [Hz]');
ylabel(ax(1),'Ampiezza [dB]');
ylabel(ax(2),'Fase [°]');
%Imposta i limiti degli assi.
ax(1).XLim = [min(freq), max(freq)];
ax(2).XLim = [min(freq), max(freq)];
ax(1).YLim = [modulo_min, modulo_max];
ax(2).YLim = [fase_min, fase_max];
%Imposta la scala logaritmica delle ascisse.
set(ax(1),'xscale','log');
set(ax(2),'xscale','log');
%Calcola due vettori, uno per lo step delle ordinate1 (ampiezza)
%e l'altro per lo step delle ordinate2 (fase).
Ytick_ampiezza = modulo_min : (modulo_max -modulo_min)/10 : modulo_max;
Ytick_fase = fase_min : (fase_max -fase_min)/20 : fase_max;
%Imposta gli step dei due assi delle ordinate.
ax(1).YTick = Ytick_ampiezza;
ax(2).YTick = Ytick_fase;
Output del codice
I parametri del circuito sono stati tirati a caso - ho rimandato l'analisi, distratto dal codice
Commento finale
Sono passate settimane e ancora non ho finito di analizzare il circuito.

Elettrotecnica e non solo (admin)
Un gatto tra gli elettroni (IsidoroKZ)
Esperienza e simulazioni (g.schgor)
Moleskine di un idraulico (RenzoDF)
Il Blog di ElectroYou (webmaster)
Idee microcontrollate (TardoFreak)
PICcoli grandi PICMicro (Paolino)
Il blog elettrico di carloc (carloc)
DirtEYblooog (dirtydeeds)
Di tutto... un po' (jordan20)
AK47 (lillo)
Esperienze elettroniche (marco438)
Telecomunicazioni musicali (clavicordo)
Automazione ed Elettronica (gustavo)
Direttive per la sicurezza (ErnestoCappelletti)
EYnfo dall'Alaska (mir)
Apriamo il quadro! (attilio)
H7-25 (asdf)
Passione Elettrica (massimob)
Elettroni a spasso (guidob)
Bloguerra (guerra)



