Cos'è ElectroYou | Login Iscriviti

ElectroYou - la comunità dei professionisti del mondo elettrico

Modello BJT

Elettronica lineare e digitale: didattica ed applicazioni

Moderatori: Foto Utentecarloc, Foto Utenteg.schgor, Foto UtenteBrunoValente, Foto UtenteIsidoroKZ

0
voti

[11] Re: Modello BJT

Messaggioda Foto UtenteMicrologus » 10 feb 2015, 15:45

IsidoroKZ ha scritto:No non sono approssimazioni grossolane, sono degli ottimi strumenti di progetto. E i libri servono, a meno che non siano quelli di nuova elettronica, non sono mai soldi buttati.

Come hai visto fra calcolo a mano approssimato e spice mi viene una differenza di 0.1dB non mi pare male. Se non ti piace l'approssimazione dei conti fatti a mano, usa Gummel-Poon, ma in tal caso non stai facendo il progettista elettronico ma il matematico :-) (absit iniuria verbis).

Posta i tuoi conti e le tue simulazioni, che ne parliamo.


Hai ragione, purtroppo da autodidatta ho un approccio troppo matematico e mi aspetto dei risultati precisi, mi metto l'anima in pace allora e comincio a considerare il fatto che i vari modelli
offerti dai libri sono solamente delle approsimazioni con varie percentuali d'errore le quali non vengono sottolineate.
Eppure mi rimangono dei dubbi sulle formule usate per i vari calcoli da questi testi... :oops:
Avatar utente
Foto UtenteMicrologus
55 2
New entry
New entry
 
Messaggi: 94
Iscritto il: 9 feb 2015, 17:29

0
voti

[12] Re: Modello BJT

Messaggioda Foto UtenteIsidoroKZ » 10 feb 2015, 15:49

Provo a ripetere, posta i tuoi conti, le tue simulazioni e guardiamo le differenze.

Qual e` il tuo background di istruzione? Serve per calibrare la lingua della risposta.
Per usare proficuamente un simulatore, bisogna sapere molta più elettronica di lui
Plug it in - it works better!
Il 555 sta all'elettronica come Arduino all'informatica! (entrambi loro malgrado)
Se volete risposte rispondete a tutte le mie domande
Avatar utente
Foto UtenteIsidoroKZ
121,2k 1 3 8
G.Master EY
G.Master EY
 
Messaggi: 21059
Iscritto il: 17 ott 2009, 0:00

0
voti

[13] Re: Modello BJT

Messaggioda Foto UtenteMicrologus » 10 feb 2015, 15:54

Ok , se ti va lo svolgiamo insieme il modello a Pi greco e vediamo le differenze con il modello simulato da spice dal quale prenderemo i vari dati.
Avatar utente
Foto UtenteMicrologus
55 2
New entry
New entry
 
Messaggi: 94
Iscritto il: 9 feb 2015, 17:29

0
voti

[14] Re: Modello BJT

Messaggioda Foto UtenteMicrologus » 10 feb 2015, 16:24

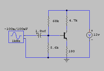
Ecco qui il circuito del quale dobbiamo ricavare il modello a Pi greco:

BJT_2n2222.png
BJT_2n2222.png (2.57 KiB) Osservato 1873 volte


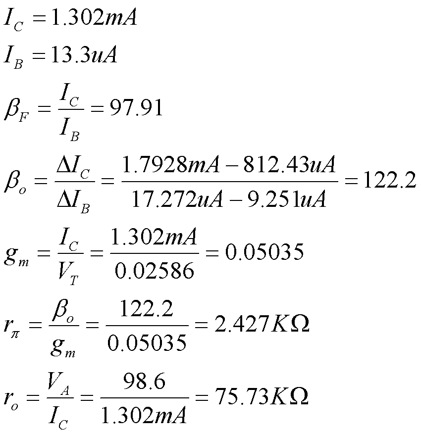
I dati per il modello a Pi greco sono questi (ricavati dal circuito sopra):

BJT_2n2222.gif
Avatar utente
Foto UtenteMicrologus
55 2
New entry
New entry
 
Messaggi: 94
Iscritto il: 9 feb 2015, 17:29

5
voti

[15] Re: Modello BJT

Messaggioda Foto UtenteIsidoroKZ » 10 feb 2015, 16:53

Usa latex per le formule, e non mettere i prefissi k maiuscoli.

I valori di beta li hai presi dal simulatore, ridotti per il punto di funzionamento?

Nel conto che ho fatto io ho preso \beta_0=\beta_F=200, anche se so che e` impossibile che i due beta siano uguali. E non ho considerato la resistenza di uscita r_0. Ovviamente in circuiti di questo tipo non si riesce a calcolare correttamente l'impedenza di ingresso, perche' dipende dal beta. Dice il saggio: meglio fidarsi di una serpe incazzata in seno piuttosto che del beta di un transistore :-).

Adesso vai con i risultati della simulazione e dei conti a mano. Ad esempio il mio simulatore (LTSpice, transistore 2N2222A Fairchild della libreria di default) da` una corrente di collettore di 1.24mA, mentre a mano a me viene una corrente di 1.27mA.

Che cosa hai studiato a scuola? Mai fatti esami di analisi 1 e 2?
Per usare proficuamente un simulatore, bisogna sapere molta più elettronica di lui
Plug it in - it works better!
Il 555 sta all'elettronica come Arduino all'informatica! (entrambi loro malgrado)
Se volete risposte rispondete a tutte le mie domande
Avatar utente
Foto UtenteIsidoroKZ
121,2k 1 3 8
G.Master EY
G.Master EY
 
Messaggi: 21059
Iscritto il: 17 ott 2009, 0:00

2
voti

[16] Re: Modello BJT

Messaggioda Foto Utenteobiuan » 10 feb 2015, 16:57

scusate mi intrometto un secondo con un piccolo semi-OT: non credo che il simulatore ne tenga conto (non lo riconosco bene dalla grafica...mica è la versione student della National?), ma se deciderai di passare dalla simulazione alla costruzione, quel condensatore da 1.8uF non lo mettere elettrolitico, o almeno (nel caso fosse l'ultimo condensatore al mondo :P) giralo.
_______________________________________________________
Gli oscillatori non oscillano mai, gli amplificatori invece sempre

Io HO i poteri della supermucca, e ne vado fiero!
Avatar utente
Foto Utenteobiuan
5.894 3 10 13
Master
Master
 
Messaggi: 980
Iscritto il: 23 set 2013, 23:45

0
voti

[17] Re: Modello BJT

Messaggioda Foto UtenteMicrologus » 10 feb 2015, 17:02

IsidoroKZ ha scritto:Usa latex per le formule, e non mettere i prefissi k maiuscoli.

Devo ancora imaparare ad usare quello online, mi sembra limitato comunque per adesso si capisce.
IsidoroKZ ha scritto:I valori di beta li hai presi dal simulatore, ridotti per il punto di funzionamento?

Si
IsidoroKZ ha scritto:Nel conto che ho fatto io ho preso \beta_0=\beta_F=200, anche se so che e` impossibile che i due beta siano uguali. E non ho considerato la resistenza di uscita r_0. Ovviamente in circuiti di questo tipo non si riesce a calcolare correttamente l'impedenza di ingresso, perche' dipende dal beta. Dice il saggio: meglio fidarsi di una serpe incazzata in seno piuttosto che del beta di un transistore :-).

:?:
IsidoroKZ ha scritto:Adesso vai con i risultati della simulazione e dei conti a mano. Ad esempio il mio simulatore (LTSpice, transistore 2N2222A Fairchild della libreria di default) da` una corrente di collettore di 1.24mA, mentre a mano a me viene una corrente di 1.27mA.


Scusami ma che c'entra quello che stai dicendo ?
Dobbiamo lavorare sui dati che ho io non i tuoi.
Il problema è mio ricordi ?

IsidoroKZ ha scritto:Che cosa hai studiato a scuola? Mai fatti esami di analisi 1 e 2?


Cosa c'entra analisi matematica con il modello a Pi greco che stiamo cercando di simulare ?
Avatar utente
Foto UtenteMicrologus
55 2
New entry
New entry
 
Messaggi: 94
Iscritto il: 9 feb 2015, 17:29

0
voti

[18] Re: Modello BJT

Messaggioda Foto UtenteIsidoroKZ » 10 feb 2015, 17:04

obiuan ha scritto: giralo.


Vero! mica l'avevo visto. Per fortuna che i condensatori nei simulatori non esplodono. Avevo solo visto il valore, che per un elettrolitico e` abbastanza inconsueto.
Per usare proficuamente un simulatore, bisogna sapere molta più elettronica di lui
Plug it in - it works better!
Il 555 sta all'elettronica come Arduino all'informatica! (entrambi loro malgrado)
Se volete risposte rispondete a tutte le mie domande
Avatar utente
Foto UtenteIsidoroKZ
121,2k 1 3 8
G.Master EY
G.Master EY
 
Messaggi: 21059
Iscritto il: 17 ott 2009, 0:00

0
voti

[19] Re: Modello BJT

Messaggioda Foto UtenteMicrologus » 10 feb 2015, 17:10

Ok , l'ho disegnato in fretta, ecco il circuito più esatto:

BJT_2n2222.png
BJT_2n2222.png (2.53 KiB) Osservato 1840 volte
Avatar utente
Foto UtenteMicrologus
55 2
New entry
New entry
 
Messaggi: 94
Iscritto il: 9 feb 2015, 17:29

0
voti

[20] Re: Modello BJT

Messaggioda Foto UtenteIsidoroKZ » 10 feb 2015, 17:11

Micrologus ha scritto:Scusami ma che c'entra quello che stai dicendo ?
Dobbiamo lavorare sui dati che ho io non i tuoi.
Il problema è mio ricordi ?

Visto che non hai ancora fornito i dati che avevi calcolato e simulato ti facevo vedere che i risultati sono affetti da una fascia di incertezza, assolutamente normale e se il circuito e` progettato correttamente non dipende troppo da alcuni parametri.

I valori di \beta_0, \beta_F e r_0 li hai ricavati dal .model del transistor o dal simulatore, gia` ridotti per il punto di funzionamento?
EDIT: Non avevo visto la risposta, sono un po' rinco!, chiedo scusa
Micrologus ha scritto:Cosa c'entra analisi matematica con il modello a Pi greco che stiamo cercando di simulare ?


Il modello a pi greco e` un modello differenziale che deriva da una serie di Taylor, quindi direi che Analisi 1 ci stia. Serve anche per vedere quali sono i limiti del piccolo segnale, andando a prendere l'errore della serie troncata.

Ma il motivo per cui l'avevo chiesto era per vedere se potevo introdurre una analisi con le sensitivities.
Per usare proficuamente un simulatore, bisogna sapere molta più elettronica di lui
Plug it in - it works better!
Il 555 sta all'elettronica come Arduino all'informatica! (entrambi loro malgrado)
Se volete risposte rispondete a tutte le mie domande
Avatar utente
Foto UtenteIsidoroKZ
121,2k 1 3 8
G.Master EY
G.Master EY
 
Messaggi: 21059
Iscritto il: 17 ott 2009, 0:00

PrecedenteProssimo

Torna a Elettronica generale

Chi c’è in linea

Visitano il forum: Nessuno e 125 ospiti