Cos'è ElectroYou | Login Iscriviti

ElectroYou - la comunità dei professionisti del mondo elettrico

Margine di ampiezza - nyquist

PLC, servomotori, inverter...robot

Moderatori: Foto Utentedimaios, Foto Utentecarlomariamanenti

1
voti

[11] Re: Margine di ampiezza - nyquist

Messaggioda Foto Utentecarloc » 1 lug 2013, 8:25

Indovina :lol: :lol:

Edit:
ma considera che se superi diciamo tre righe c'è qualcosa che non va ;-)
Se ti serve il valore di beta: hai sbagliato il progetto!
Avatar utente
Foto Utentecarloc
33,8k 6 11 13
G.Master EY
G.Master EY
 
Messaggi: 2153
Iscritto il: 7 set 2010, 19:23

0
voti

[12] Re: Margine di ampiezza - nyquist

Messaggioda Foto Utenteellosma » 1 lug 2013, 16:12

image.jpg
image.jpg (144.78 KiB) Osservato 3484 volte
Avatar utente
Foto Utenteellosma
130 1 2 6
Frequentatore
Frequentatore
 
Messaggi: 214
Iscritto il: 25 gen 2012, 18:21

0
voti

[13] Re: Margine di ampiezza - nyquist

Messaggioda Foto Utenteellosma » 1 lug 2013, 16:13

image.jpg
image.jpg (125.98 KiB) Osservato 3483 volte
Avatar utente
Foto Utenteellosma
130 1 2 6
Frequentatore
Frequentatore
 
Messaggi: 214
Iscritto il: 25 gen 2012, 18:21

0
voti

[14] Re: Margine di ampiezza - nyquist

Messaggioda Foto Utenteellosma » 1 lug 2013, 16:13

image.jpg
image.jpg (121.28 KiB) Osservato 3483 volte
Avatar utente
Foto Utenteellosma
130 1 2 6
Frequentatore
Frequentatore
 
Messaggi: 214
Iscritto il: 25 gen 2012, 18:21

0
voti

[15] Re: Margine di ampiezza - nyquist

Messaggioda Foto Utenteellosma » 1 lug 2013, 19:56

Ho postato lo svolgimento , però non capisco come ridimensionare l'immagine dopo averla postata :/ se uno di voi due ha tempo e voglia potrebbe dare una occhiata anche alla mia ultima domanda ? Ovviamente ho altri dubbi !!!
Avatar utente
Foto Utenteellosma
130 1 2 6
Frequentatore
Frequentatore
 
Messaggi: 214
Iscritto il: 25 gen 2012, 18:21

1
voti

[16] Re: Margine di ampiezza - nyquist

Messaggioda Foto Utentecarloc » 1 lug 2013, 21:27

carloc ha scritto:Indovina :lol: :lol:


:( :( :( non hai indovinato il modo giusto di postare :?

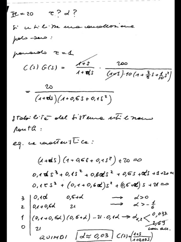
L'ultimo punto mi sembra: "Progettare un controllore lead/lag cioè polo zero, fissando k=20"

Questo controllore è nella forma

C(s)=\frac{1+\tau \,s}{1+\alpha\,s}

allora si decide di cancellare uno dei poli del sistema originale con lo zero del controllore (e questo fissa \tau ) poi si determina \alpha per essere al limite della stabilità con il criterio di Routh.

Ora questa è una possibilità, non l'unica e neanche mi piace, mi pare molto poco utilizzabile in pratica ma dipende un po' da cosa si aspettano/ avete fatto a lezione.
Se ti serve il valore di beta: hai sbagliato il progetto!
Avatar utente
Foto Utentecarloc
33,8k 6 11 13
G.Master EY
G.Master EY
 
Messaggi: 2153
Iscritto il: 7 set 2010, 19:23

0
voti

[17] Re: Margine di ampiezza - nyquist

Messaggioda Foto Utenteellosma » 1 lug 2013, 21:36

Scusa :oops: riscrivo tutto entro stasera ! Intanto faccio l'ultima parte dell'esercizio :)
Avatar utente
Foto Utenteellosma
130 1 2 6
Frequentatore
Frequentatore
 
Messaggi: 214
Iscritto il: 25 gen 2012, 18:21

1
voti

[18] Re: Margine di ampiezza - nyquist

Messaggioda Foto Utentecarloc » 1 lug 2013, 21:41

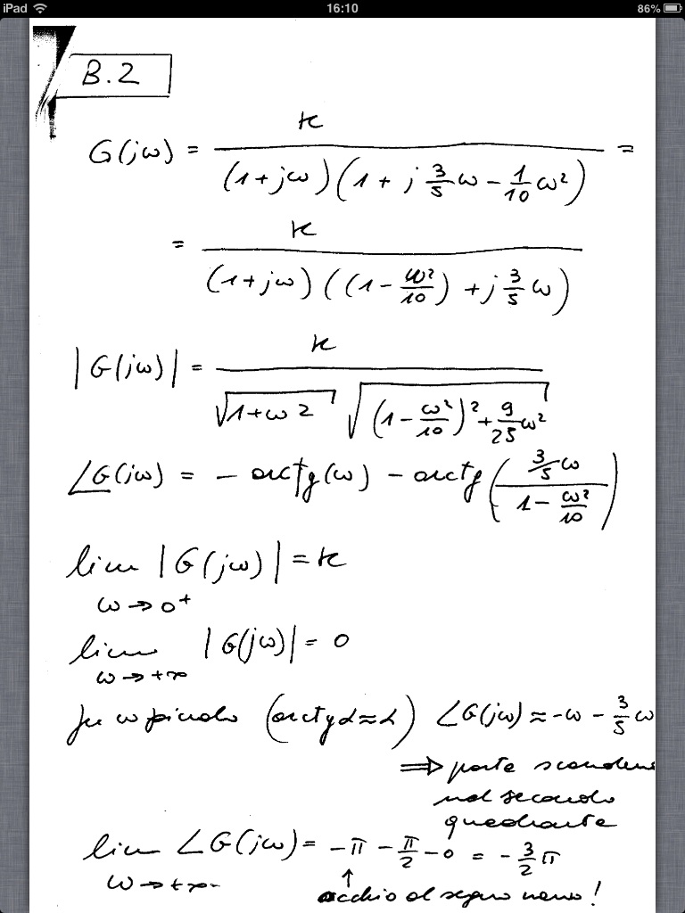
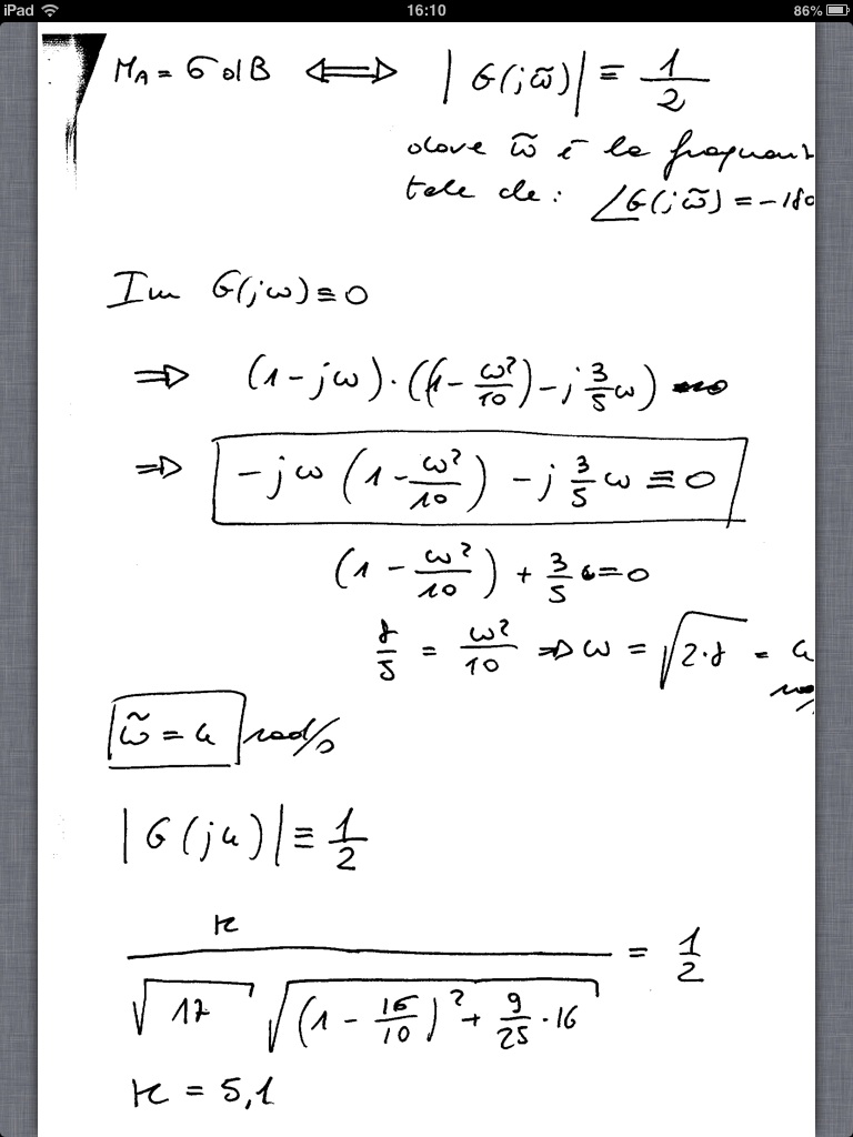
... a dire il vero mi pareva che lo avevi già postato in Latex nell'altro thread :?: :?: mi riferivo solo alla parte del calcolo di k per 6dB di margine di guadagno

comunque casomai le immagini le devi ridimensionare prima di caricarle, con un tuo programma di grafica (Paint, Sumo o che altro), il sito non ha un editor grafico incorporato :D
Se ti serve il valore di beta: hai sbagliato il progetto!
Avatar utente
Foto Utentecarloc
33,8k 6 11 13
G.Master EY
G.Master EY
 
Messaggi: 2153
Iscritto il: 7 set 2010, 19:23

0
voti

[19] Re: Margine di ampiezza - nyquist

Messaggioda Foto Utenteellosma » 1 lug 2013, 21:59

Ah ok! Allora scriverò i passaggi relativi alla conversione da dB :) per la questione della risoluzione dell'ultimo esercizio: il mio prof non fa esercitazioni e a lezione solo teoria quindi non ci ha indicato un modo particolare per risolvere questo tipo di esercizi. Ora che ho capito come il libro lo ha risolto , mi interesserebbe sapere ( anche solo in via teorica) come l'avresti risolto tu ? Magari il tuo metodo e' più logico di questo, perché in effetti il testo se il testo mi dice di trovare i valori di due incognite non mi sembra molto corretto dare ad una un valore a priori per ammollare un polo :/ ma magari il mio e' un ragionamento da mente contorta :)
Avatar utente
Foto Utenteellosma
130 1 2 6
Frequentatore
Frequentatore
 
Messaggi: 214
Iscritto il: 25 gen 2012, 18:21

1
voti

[20] Re: Margine di ampiezza - nyquist

Messaggioda Foto Utentecarloc » 1 lug 2013, 22:27

No no vai bene con il metodo del libro :D Progettare controllori non è un problema a soluzione unica, ci sono vari modi con pro e contro, ma ovviamente ti consiglio di attenerti al libro di testo consigliato.


Pour parler direi che due cose mi lasciano qualche dubbio:

La cancellazione zero/polo in pratica è abbastanza critica perché spesso accade che il polo del sistema non sia ben precisamente collocato ad una certa frequenza. Si può spostare per cambiamenti di parti del processo (vedilo come un disturbo) e questo può portare ad instabilità o sistemi sovrasmorzati.

Progettare con Routh "al limite della stabilità" al limite del cambio segno, con lo zero in prima colonna significa progettare un sistema con due poli ad anello chiuso sull'asse immaginario. Anche lasciando perdere circa tutto riguardo variazioni ai parametri del processo, non linearità etc. etc. abbiamo progettato un oscillatore.

Comunque direi che forse mi sono lasciato un po' prendere la mano e queste sono cose che studierai in seguito :ok: :ok:
Se ti serve il valore di beta: hai sbagliato il progetto!
Avatar utente
Foto Utentecarloc
33,8k 6 11 13
G.Master EY
G.Master EY
 
Messaggi: 2153
Iscritto il: 7 set 2010, 19:23

PrecedenteProssimo

Torna a Automazione industriale ed azionamenti

Chi c’è in linea

Visitano il forum: Nessuno e 6 ospiti