Controlli automatici - Calcolo errore in retroazione
Moderatori:
dimaios,
carlomariamanenti
12 messaggi
• Pagina 1 di 2 • 1, 2
0
voti
Buonasera.
Ho difficoltà a risolvere l'esercizio 7 di questo PDF.
Non ho capito come si calcola E(s), ho provato più volte ma il mio risultato non corrisponde.
Ho difficoltà a risolvere l'esercizio 7 di questo PDF.
Non ho capito come si calcola E(s), ho provato più volte ma il mio risultato non corrisponde.
-

ultrasound91
318 2 4 6 - Disattivato su sua richiesta
- Messaggi: 700
- Iscritto il: 26 ago 2014, 21:02
1
voti
Se posti tutti i passaggi si può capire dove sta l'errore.
"Lo scienziato descrive ciò che esiste, l'ingegnere crea ciò che non era mai stato."
(T. von Kármán)
(T. von Kármán)
1
voti
Ho qualche dubbio sullo spostamento dei blocchi all'indietro. Perché non applichi passo-passo la sovrapposizione degli effetti, come peraltro ti suggerisce l'esercizio? Un ingresso alla volta; secondo me così non si incorre in errore.
"Lo scienziato descrive ciò che esiste, l'ingegnere crea ciò che non era mai stato."
(T. von Kármán)
(T. von Kármán)
0
voti
Non so perché ma le mie espressioni sono più lunghe di quelle che appaiono nella risoluzione.
-

ultrasound91
318 2 4 6 - Disattivato su sua richiesta
- Messaggi: 700
- Iscritto il: 26 ago 2014, 21:02
4
voti
Dunque, il nostro sistema nel dominio di s è:
1) D1(s) = D2(s) = 0
Il sistema diventa:
Per cui:

Ma:

Sviluppi i passaggi, sostituisci alla prima relazione, e ottieni:
![E1(s)=R(s)\left [ \frac{s(s+2)}{s^{2}+2s+2h} \right ] E1(s)=R(s)\left [ \frac{s(s+2)}{s^{2}+2s+2h} \right ]](/forum/latexrender/pictures/ec44aad3a73d9fd56a3ce89647237dd5.png)
2) R(s) = D2(s) = 0.
Il sistema diventa:
Stessa procedura di prima:



3) R(s) = D1(s) = 0
Il sistema diventa:
Idem con patate:

Sovrapposizione degli effetti nell'ipotesi di linearità del sistema di controllo in questione:

Ovvero:
![E(s)=R(s)\left [ \frac{s(s+2)}{s^{2}+2s+2h} \right ]-\frac{2h(s+2)}{s^{2}+2s+2h}D1(s)-\frac{sh(s+2)}{s^{2}+2s+2h}D2(s) E(s)=R(s)\left [ \frac{s(s+2)}{s^{2}+2s+2h} \right ]-\frac{2h(s+2)}{s^{2}+2s+2h}D1(s)-\frac{sh(s+2)}{s^{2}+2s+2h}D2(s)](/forum/latexrender/pictures/52e7ed0380d56485f45e3abd06b7340f.png)
Che mi sembra sia sorella gemella di quella dell'esercizio:
Il resto sono sostituzioni
1) D1(s) = D2(s) = 0
Il sistema diventa:
Per cui:

Ma:

Sviluppi i passaggi, sostituisci alla prima relazione, e ottieni:
![E1(s)=R(s)\left [ \frac{s(s+2)}{s^{2}+2s+2h} \right ] E1(s)=R(s)\left [ \frac{s(s+2)}{s^{2}+2s+2h} \right ]](/forum/latexrender/pictures/ec44aad3a73d9fd56a3ce89647237dd5.png)
2) R(s) = D2(s) = 0.
Il sistema diventa:
Stessa procedura di prima:



3) R(s) = D1(s) = 0
Il sistema diventa:
Idem con patate:

Sovrapposizione degli effetti nell'ipotesi di linearità del sistema di controllo in questione:

Ovvero:
![E(s)=R(s)\left [ \frac{s(s+2)}{s^{2}+2s+2h} \right ]-\frac{2h(s+2)}{s^{2}+2s+2h}D1(s)-\frac{sh(s+2)}{s^{2}+2s+2h}D2(s) E(s)=R(s)\left [ \frac{s(s+2)}{s^{2}+2s+2h} \right ]-\frac{2h(s+2)}{s^{2}+2s+2h}D1(s)-\frac{sh(s+2)}{s^{2}+2s+2h}D2(s)](/forum/latexrender/pictures/52e7ed0380d56485f45e3abd06b7340f.png)
Che mi sembra sia sorella gemella di quella dell'esercizio:
Il resto sono sostituzioni

"Lo scienziato descrive ciò che esiste, l'ingegnere crea ciò che non era mai stato."
(T. von Kármán)
(T. von Kármán)
1
voti
Ciò non toglie ovviamente che puoi procedere anche SPE e scrivere le f.d.t. direttamente. Tipicamente però ci vuole un po' di allenamento con questo approccio per non incorrere in pasticci... (esperienza personale
)
"Lo scienziato descrive ciò che esiste, l'ingegnere crea ciò che non era mai stato."
(T. von Kármán)
(T. von Kármán)
0
voti
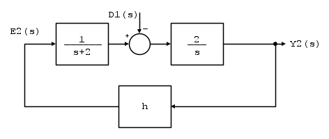
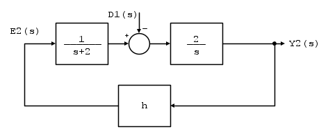
1) Nello schema del PDF, i nodi sommatori non sono tutti uguali.
Quello più a sinistra ha un puntino, ed io l'ho considerato con il segno meno,
mentre i disturbi li ho considerati con il segno +.
2) Il rapporto Y1(s) / R(s) dà come risultato G(s) = 2 / (s^2 + 2s +2h).
Come mi torna utile questa funzione nella sostituzione alla precedente?
Quello più a sinistra ha un puntino, ed io l'ho considerato con il segno meno,
mentre i disturbi li ho considerati con il segno +.
2) Il rapporto Y1(s) / R(s) dà come risultato G(s) = 2 / (s^2 + 2s +2h).
Come mi torna utile questa funzione nella sostituzione alla precedente?
-

ultrasound91
318 2 4 6 - Disattivato su sua richiesta
- Messaggi: 700
- Iscritto il: 26 ago 2014, 21:02
3
voti
ultrasound91 ha scritto:1) Nello schema del PDF, i nodi sommatori non sono tutti uguali.
Quello più a sinistra ha un puntino, ed io l'ho considerato con il segno meno,
mentre i disturbi li ho considerati con il segno +.
Hai ragione, anche a me ha fregato inizialmente, ho fatto "reverse engineering" dai risultati per capirlo. Francamente i simboli adottati sono una vera "fetenzia": quelli sono tutto fuorché nodi sommatori. Il simbolo è quello di un mixer (miscelatore, moltiplicatore che dir si voglia).
ultrasound91 ha scritto:2) Il rapporto Y1(s) / R(s) dà come risultato G(s) = 2 / (s^2 + 2s +2h).
Come mi torna utile questa funzione nella sostituzione alla precedente?

Sostituisci Y1(s) in:
![E1(s)=R(s)-hY1(s)=R(s)-h\left [ \frac{2}{s^{2}+2s+2h}R(s) \right ] E1(s)=R(s)-hY1(s)=R(s)-h\left [ \frac{2}{s^{2}+2s+2h}R(s) \right ]](/forum/latexrender/pictures/eb2347454dbe76c17bce610ded64c1af.png)
Metti in evidenza R(s) e ottieni il risultato finale di cui sopra.
"Lo scienziato descrive ciò che esiste, l'ingegnere crea ciò che non era mai stato."
(T. von Kármán)
(T. von Kármán)
0
voti
Perfetto, adesso i conti tornano.
I miei calcoli si allungavano perché consideravo i disturbi con il segno +.
Ho un'ultima domanda.
Nell'esercizio in questione, si parla dell'errore e(t).
Sto studiando adesso, dalla teoria altri tipi di errore, cioè errore di posizione, di velocità e di accelerazione.
Quindi mi chiedo, quale è errore è stato calcolato nell'esercizio 7?
I miei calcoli si allungavano perché consideravo i disturbi con il segno +.
Ho un'ultima domanda.
Nell'esercizio in questione, si parla dell'errore e(t).
Sto studiando adesso, dalla teoria altri tipi di errore, cioè errore di posizione, di velocità e di accelerazione.
Quindi mi chiedo, quale è errore è stato calcolato nell'esercizio 7?
-

ultrasound91
318 2 4 6 - Disattivato su sua richiesta
- Messaggi: 700
- Iscritto il: 26 ago 2014, 21:02
12 messaggi
• Pagina 1 di 2 • 1, 2
Torna a Automazione industriale ed azionamenti
Chi c’è in linea
Visitano il forum: Nessuno e 10 ospiti

Elettrotecnica e non solo (admin)
Un gatto tra gli elettroni (IsidoroKZ)
Esperienza e simulazioni (g.schgor)
Moleskine di un idraulico (RenzoDF)
Il Blog di ElectroYou (webmaster)
Idee microcontrollate (TardoFreak)
PICcoli grandi PICMicro (Paolino)
Il blog elettrico di carloc (carloc)
DirtEYblooog (dirtydeeds)
Di tutto... un po' (jordan20)
AK47 (lillo)
Esperienze elettroniche (marco438)
Telecomunicazioni musicali (clavicordo)
Automazione ed Elettronica (gustavo)
Direttive per la sicurezza (ErnestoCappelletti)
EYnfo dall'Alaska (mir)
Apriamo il quadro! (attilio)
H7-25 (asdf)
Passione Elettrica (massimob)
Elettroni a spasso (guidob)
Bloguerra (guerra)




