Cos'è ElectroYou | Login Iscriviti

ElectroYou - la comunità dei professionisti del mondo elettrico

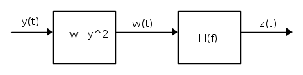
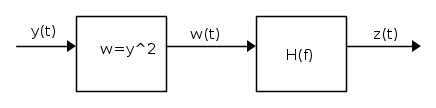
Esercizio Teoria dei Segnali

Elettronica lineare e digitale: didattica ed applicazioni

Moderatori: Foto Utentecarloc, Foto Utenteg.schgor, Foto UtenteBrunoValente, Foto UtenteIsidoroKZ

0
voti

[1] Esercizio Teoria dei Segnali

Messaggioda Foto Utentekotek » 1 apr 2012, 11:34

O_/ a tutti,
avere dei dubbi sul seguente esercizio: "Il segnale y(t)=\sum_{n=-\infty}^{+\infty}(-1)^nx(t-nT) dove x(t)=e^{\frac{-t}{T}}\cdot rect(\frac{t-T/2}{T}) è posto all'ingresso del sistema (il primo blocco è un sistema non lineare)"

dove

Trovare la potenza del segnale di uscita.

Io avevo fatto nel seguente modo.
Prima di tutto elevo semplicemente al quadrato l'ingresso y(t) ottenendo:
w(t)=\sum_{n=-\infty}^{+\infty}e^{\frac{-2(t-nT)}{T}}\cdot rect(\frac{t-T/2-nT}{T})

A questo punto devo calcolare la trasformata del segnale w(t) per vedere se il segnale verrà distorto o meno, quindi, poiché il segnale è periodico:

\mathit{F}[w(t)]=\sum_{-\infty}^{+\infty}X_k\cdot \delta(f-\frac{k}{T})

ed

X_k=\frac{1}{T}\int_{0}^{T}e^{\frac{-2t}{T}}e^{\frac{-j2\pi kt}{T}}dt=\frac{1}{T}\int_{0}^{T}e^{\frac{-t}{T}(j2\pi k+2)}dt=\frac{e^{-(j2\pi k +2)}-1}{-(j2\pi k +2)}=\frac{e^{-2}e^{-(j2\pi k)}-1}{-(j2\pi k +2)}

dove quindi:

X_k=\frac{e^{-2}-1}{-(j2\pi k+2)}=\frac{1-e^{-2}}{j2\pi k+2}

Infine passando attraverso il 2° blocco del sistema passano soltanto le componenti con k=0 e k=1.
Quindi per calcolare la potenza devo solo elevare al quadrato i termini con k=0 e k=1 e sommarli.

Secondo me ho fatto un macello....
Avatar utente
Foto Utentekotek
202 2 4 9
Stabilizzato
Stabilizzato
 
Messaggi: 481
Iscritto il: 9 giu 2011, 17:22

3
voti

[2] Re: Esercizio Teoria dei Segnali

Messaggioda Foto Utentecarloc » 2 apr 2012, 10:35

A me sembra abbastanza giusto...
non ho controllato i calcoli nel dettaglio ma il procedimento mi sembra ok sempre che...

tu sia ben conscio della fortuna sfacciata che hai avuto :mrgreen:
kotek ha scritto:[...]Prima di tutto elevo semplicemente al quadrato[...]

in generale

\left(\sum_k x_k \right)^2 \ne \sum_k x_k^2

ma invece nel tuo caso particolare


si ha che tutti i doppi prodotti sono nulli a causa delle diverse "finestre" di ognuno dei suoi termini :D
Se ti serve il valore di beta: hai sbagliato il progetto!
Avatar utente
Foto Utentecarloc
33,8k 6 11 13
G.Master EY
G.Master EY
 
Messaggi: 2153
Iscritto il: 7 set 2010, 19:23

0
voti

[3] Re: Esercizio Teoria dei Segnali

Messaggioda Foto Utentekotek » 2 apr 2012, 10:45

carloc ha scritto:fortuna sfacciata

Allora oggi vado a giocare qualche numero :mrgreen:

Ti ringrazio dell'aiuto, grazie, pensavo di aver fatto un casino.
Avatar utente
Foto Utentekotek
202 2 4 9
Stabilizzato
Stabilizzato
 
Messaggi: 481
Iscritto il: 9 giu 2011, 17:22

-3
voti

[4] Re: Esercizio Teoria dei Segnali

Messaggioda Foto Utentetorla91 » 7 apr 2012, 15:31

allora, io farei così:

1) portare tutti i segnali nel dominio della frequenza, trasformando tutto con fourier.
2) blocchi in serie si moltiplicano, quindi fai (H1 x H2) trovando la risposta totale del sistema.
3) moltiplichi il segnale d'ingresso per la Htot e trovi l' uscita. Calcoli la potenza del segnale di uscita e hai finito l esercizio.
4) ragiona solo su un singolo periodo, il segnale è periodico, quindi le cose si semplificano ragionando su un solo T.
5) teoria dei segnali mi fa XXXXXX, l ho appena data e speravo di non vederla mai più :). spero di non averti detto XXXXXX! ciaooooo
Avatar utente
Foto Utentetorla91
45 1 6
Frequentatore
Frequentatore
 
Messaggi: 100
Iscritto il: 8 feb 2012, 19:10

2
voti

[5] Re: Esercizio Teoria dei Segnali

Messaggioda Foto Utentecarloc » 7 apr 2012, 16:00

...e nel caso sopra quanto varrebbe H1 ? :D
Se ti serve il valore di beta: hai sbagliato il progetto!
Avatar utente
Foto Utentecarloc
33,8k 6 11 13
G.Master EY
G.Master EY
 
Messaggi: 2153
Iscritto il: 7 set 2010, 19:23

0
voti

[6] Re: Esercizio Teoria dei Segnali

Messaggioda Foto Utentetorla91 » 7 apr 2012, 21:21

carloc ha scritto:...e nel caso sopra quanto varrebbe H1 ? :D

la risposta in frequenza del primo blocco è la trasformata di fourier del quadrato di x(t).
però mi sorge il dubbio sulla linarità del primo blocco...


non capisco però a cosa siano dovuti i -6 punti... se è colpa degli errori che ho fatto nel commento precedente beh chiedo venia...
Avatar utente
Foto Utentetorla91
45 1 6
Frequentatore
Frequentatore
 
Messaggi: 100
Iscritto il: 8 feb 2012, 19:10

2
voti

[7] Re: Esercizio Teoria dei Segnali

Messaggioda Foto Utentecarloc » 8 apr 2012, 8:48

kotek ha scritto:[...] (il primo blocco è un sistema non lineare)"[...]

torla91 ha scritto:[...]però mi sorge il dubbio sulla linarità del primo blocco...[...]

Mi sa che sia un dubbio più che legittimo :mrgreen:

Io poi avrei qualche dubbio anche su
torla91 ha scritto:[...]la risposta in frequenza del primo blocco è la trasformata di fourier del quadrato di x(t).[...]

anche fosse stato lineare in generale la TCF dell'uscita di un blocco non è la sua risposta in frequenza a meno che in ingresso non ci sia un particolare stimolo x(t) tale che X(f)=1 ;-) ....
Se ti serve il valore di beta: hai sbagliato il progetto!
Avatar utente
Foto Utentecarloc
33,8k 6 11 13
G.Master EY
G.Master EY
 
Messaggi: 2153
Iscritto il: 7 set 2010, 19:23

5
voti

[8] Re: Esercizio Teoria dei Segnali

Messaggioda Foto UtenteDirtyDeeds » 8 apr 2012, 9:21

Eh, si vede che Teoria dei segnali gli fa XXXXXX :mrgreen:
It's a sin to write sin instead of \sin (Anonimo).
...'cos you know that cos ain't \cos, right?
You won't get a sexy tan if you write tan in lieu of \tan.
Take a log for a fireplace, but don't take log for \logarithm.
Avatar utente
Foto UtenteDirtyDeeds
55,9k 7 11 13
G.Master EY
G.Master EY
 
Messaggi: 7012
Iscritto il: 13 apr 2010, 16:13
Località: Somewhere in nowhere


Torna a Elettronica generale

Chi c’è in linea

Visitano il forum: Nessuno e 31 ospiti