
Circuito in regime sinusoidale 2
Moderatori:
g.schgor,
IsidoroKZ
8 messaggi
• Pagina 1 di 1
-3
voti
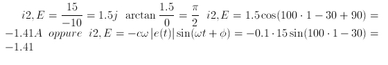
Ciao, ho cercato di risolvere questo problema ma mi sono bloccato al primo punto che come si può vedere non mi risulta 

0
voti
Per le formule in LaTeX fai in questo modo:
1. copi il codice che hai scritto nel tool;
2. lo incolli in mezzo ai tag tex, usando l'omonimo pulsante che trovi in alto a destra rispetto al box dove scrivi il post.
Esempio:
Consiglio: vai a capo qualche volta...
1. copi il codice che hai scritto nel tool;
2. lo incolli in mezzo ai tag tex, usando l'omonimo pulsante che trovi in alto a destra rispetto al box dove scrivi il post.
Esempio:
- Codice: Seleziona tutto
[tex] I = \frac{V}{R} [/tex]
Consiglio: vai a capo qualche volta...

0
voti
yoo ha scritto:Chiedo gentilmente aRenzoDF se mi può dare un aiuto, grazie
a) Vista la "natura" dei due generatori, devi applicare la sovrapposizione.
b) La R serve solo per la terza domanda, per le prime due puoi eliminarla
c) La i3 sarà somma di due termini, quello in continua e quello in alternta mentre i2 avrà solo la componente alternata.
d) i risultati sono manifestamente errati in quanto se la i2(T) presentasse quel valore, la i3(T) non potrebbe essere negativa visto che risulta pari a i2(T)+A.
"Il circuito ha sempre ragione" (Luigi Malesani)
0
voti
"Non farei mai parte di un club che accettasse la mia iscrizione" (G. Marx)
-

claudiocedrone
21,3k 4 7 9 - Master EY

- Messaggi: 15300
- Iscritto il: 18 gen 2012, 13:36
0
voti
e io dopo 50 messaggi, e decine di circuiti postati ti chiedo gentilmente di rispettare le regole come tutti fanno all'interno del Forum!
EDIT: per quel che mi riguarda bloccherò da ora in poi ogni tua richiesta di aiuto che non sia fatta seguendo le regole.
8 messaggi
• Pagina 1 di 1
Torna a Elettrotecnica generale
Chi c’è in linea
Visitano il forum: Nessuno e 26 ospiti

Elettrotecnica e non solo (admin)
Un gatto tra gli elettroni (IsidoroKZ)
Esperienza e simulazioni (g.schgor)
Moleskine di un idraulico (RenzoDF)
Il Blog di ElectroYou (webmaster)
Idee microcontrollate (TardoFreak)
PICcoli grandi PICMicro (Paolino)
Il blog elettrico di carloc (carloc)
DirtEYblooog (dirtydeeds)
Di tutto... un po' (jordan20)
AK47 (lillo)
Esperienze elettroniche (marco438)
Telecomunicazioni musicali (clavicordo)
Automazione ed Elettronica (gustavo)
Direttive per la sicurezza (ErnestoCappelletti)
EYnfo dall'Alaska (mir)
Apriamo il quadro! (attilio)
H7-25 (asdf)
Passione Elettrica (massimob)
Elettroni a spasso (guidob)
Bloguerra (guerra)







