Cos'è ElectroYou | Login Iscriviti

ElectroYou - la comunità dei professionisti del mondo elettrico

Poli funzione di trasferimento

Elettronica lineare e digitale: didattica ed applicazioni

Moderatori: Foto Utentecarloc, Foto Utenteg.schgor, Foto UtenteBrunoValente, Foto UtenteIsidoroKZ

2
voti

[11] Re: Poli funzione di trasferimento

Messaggioda Foto UtenteStokes » 29 lug 2015, 23:10

I poli di una funzione di trasferimento (o frequenze proprie) non sono altro che gli autovalori della matrice di stato A, una volta che si è posto il sistema nella forma normale
\dot x = A\cdot x + B\cdot u
y = C\cdot x + D\cdot u
dove x è il vettore delle variabili di stato e u quello degli ingressi, e il punto denota l'operazione di derivazione. Come si vede dalla formula la matrice A è indipendente dagli ingressi. Per passare nel dominio della frequenza si ricava la funzione di trasferimento G(s)=C(S\cdot I - A)^{-1}\cdot B+D, da cui si vede che i poli dipendono solo da A. Quindi, assegnato un circuito, tutte le funzioni di trasferimento avranno gli stessi poli, che dipendono dalla topologia del circuito (quindi dai soli elementi passivi che lo compongono).
Avatar utente
Foto UtenteStokes
456 1 5
Frequentatore
Frequentatore
 
Messaggi: 158
Iscritto il: 23 feb 2015, 15:04

0
voti

[12] Re: Poli funzione di trasferimento

Messaggioda Foto Utenteslashino » 30 lug 2015, 7:54

Intendevo esattamente la spiegazione proposta da Stokes :ok:
Avatar utente
Foto Utenteslashino
378 2 5 7
CRU - Account cancellato su Richiesta utente
 
Messaggi: 528
Iscritto il: 15 mag 2012, 17:15

3
voti

[13] Re: Poli funzione di trasferimento

Messaggioda Foto Utentedimaios » 30 lug 2015, 9:10

Ianero ha scritto:"I poli della funzione di trasferimento non dipendono dalle eccitazioni in ingresso"


Se il circuito è LTI ( Linear Time Invariant ) si.
Ingegneria : alternativa intelligente alla droga.
Avatar utente
Foto Utentedimaios
30,2k 7 10 12
G.Master EY
G.Master EY
 
Messaggi: 3381
Iscritto il: 24 ago 2010, 14:12
Località: Behind the scenes

0
voti

[14] Re: Poli funzione di trasferimento

Messaggioda Foto UtenteEcoTan » 30 lug 2015, 9:36

In tante occasioni si è spaccato 1 capello in 4, questa volta ho l'impressione che si voglia invece semplificare ma forse non ho capito: allora i poli sono sempre gli stessi indipendentemente da dove scelgo i nodi di ingresso e di uscita? Niente singolarità, casi particolari, nulla? Se prendessi coppie di nodi coincidenti..
Avatar utente
Foto UtenteEcoTan
7.720 4 12 13
Expert EY
Expert EY
 
Messaggi: 5424
Iscritto il: 29 gen 2014, 8:54

4
voti

[15] Re: Poli funzione di trasferimento

Messaggioda Foto Utentedimaios » 30 lug 2015, 10:47

Attenzione alla domanda.

DOMANDA 1
"I poli della funzione di trasferimento non dipendono dalle eccitazioni in ingresso"

DOMANDA 2

"Ho un circuito, indipendentemente da dove posiziono l'ingresso i poli della sua funzione di trasferimento non dipenderanno da tale scelta.
E' vero?"

Queste due domande sono completamente diverse.
Nella prima si chiede se la stabilità del sistema dipende dall'entità dell'ingresso mentre nella seconda si chiede se la dinamica del sistema dipende dal punto di ingresso ed uscita selezionati in una catena di sistemi connessi.



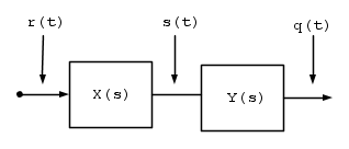
In realtà se la catena di sistemi non è retroazionata non è vero che i poli sono i medesimi in quanto potrei avere un condizione del tipo:



E' banale comprendere che la fdt tra r e s non ha gli stessi poli di quella tra s e q.


Un'altra differenza è individuabile nella descrizione su base stato.
Se eseguo la scomposizione di Kalman vedo subito che mi posiziono in uscita su uno stato non osservabile non ne osservo la dinamica. ;-)
Questo non vuol dire che lo stato non esista ma semplicemente non riesco a vederlo da quell'uscita....

Il discorso generale è complesso inclusa la cancellazione poli-zeri che risulta un problema affatto banale.
Ingegneria : alternativa intelligente alla droga.
Avatar utente
Foto Utentedimaios
30,2k 7 10 12
G.Master EY
G.Master EY
 
Messaggi: 3381
Iscritto il: 24 ago 2010, 14:12
Località: Behind the scenes

0
voti

[16] Re: Poli funzione di trasferimento

Messaggioda Foto UtenteIanero » 30 lug 2015, 14:36

Grazie a tutti, credo di aver capito leggendo l'ottima spiegazione di Foto Utentefairyvilje :-)
Questa proposizione l'ho letta mentre leggevo il libro di elettronica, il quale non la dimostrava, forse proprio perché è compito di un corso di automazione?
:shock:
Avatar utente
Foto UtenteIanero
8.069 5 8 11
Master EY
Master EY
 
Messaggi: 4320
Iscritto il: 21 mar 2012, 15:47

0
voti

[17] Re: Poli funzione di trasferimento

Messaggioda Foto UtenteDirtyDeeds » 30 lug 2015, 15:04

Ianero ha scritto:Questa proposizione l'ho letta mentre leggevo il libro di elettronica, il quale non la dimostrava, forse proprio perché è compito di un corso di automazione?


No, è compito di un corso di teoria dei circuiti.

Non ho avuto tempo di seguire la discussione, ma ho l'impressione che sia stata fatta un po' di confusione.
It's a sin to write sin instead of \sin (Anonimo).
...'cos you know that cos ain't \cos, right?
You won't get a sexy tan if you write tan in lieu of \tan.
Take a log for a fireplace, but don't take log for \logarithm.
Avatar utente
Foto UtenteDirtyDeeds
55,9k 7 11 13
G.Master EY
G.Master EY
 
Messaggi: 7012
Iscritto il: 13 apr 2010, 16:13
Località: Somewhere in nowhere

Precedente

Torna a Elettronica generale

Chi c’è in linea

Visitano il forum: Nessuno e 172 ospiti