Cos'è ElectroYou | Login Iscriviti

ElectroYou - la comunità dei professionisti del mondo elettrico

Notazioni matematiche

Analisi, geometria, algebra, topologia...

Moderatori: Foto UtentePietroBaima, Foto UtenteIanero

0
voti

[1] Notazioni matematiche

Messaggioda Foto UtenteCandy » 14 lug 2016, 22:42

Visto che non sono capace di starmene buono, vado a leggere i thread del forum qua e la ed andando cosi` ad impicciarmi degli affari altrui, mi sono imbattuto in questo thread.
Ad un certo punto e` venuto fuori che qualcosa era sbagliato dimensionalmente, quindi, ho provato a guardarmi attorno, ma non capivo.
Gia`, non capivo perche` fin dai primi caratteri dell'equazione incriminata io non riuscivo a leggere nulla.
Quindi sono qui a domandare, umilmente, con riferimento al thread in esame, come si legge e cosa significhi:
H(_{f})\,...
Cosa rappresenta H?
Cosa rappresenta la parentesi tonda?
Cosa rappresenta la lettera f?
Ed il tutto ha una dimensione? Quale?
Ed ancora: come si legge? Ossia, come si pronuncia quella notazione?
Per quale convenzione dovrebbe essere mnemonica? Solo per definizione e studio?

Gli stessi dubbi li ho quando vi leggo scrivere:
G(_{s})\,...
Ma almeno, a parte i segni grafici diversi, (le lettere), per il resto, la chiave di lettura e` la medesima?

Io ero e sono rimasto a che y=f(x). Per il resto mi perdo ovunque.
Avatar utente
Foto UtenteCandy
32,5k 7 10 13
CRU - Account cancellato su Richiesta utente
 
Messaggi: 10123
Iscritto il: 14 giu 2010, 22:54

0
voti

[2] Re: Notazioni matematiche

Messaggioda Foto UtenteDanteCpp » 15 lug 2016, 9:30

Ciao Mauro,
H(f) è una funzione, che prende in ingresso dei valori reali, e restituisce in generale dei valori complessi.
Nell'abito della teoria dei sistemi, prende il nome di risposta armonica. Essa è definita come l'uscita fratto l'ingresso di un dato sistema, quando l'ingresso è una sinusoide di ampiezza unitaria e pulsazione 2 \pi f



Ossia

H(f)=\frac{y(f)}{u(f)}

Le dimensioni, dipendono dal sistema fisico in esame.

Nel caso che hai citato:



Si ha

V_o = -\frac{R}{-jXc} V_i

ove

-jXc=\frac{1}{j 2 \pi f C}

sostituendo si ottiene

H(f)=\frac{V_o}{V_i}=-j 2 \pi f RC

L'analisi dimensionale è

1=\frac{V}{V}=\frac{\Omega}{\Omega}=1

Spero di aver chiarito qualche dubbio! :mrgreen: O_/
Avatar utente
Foto UtenteDanteCpp
4.730 3 9 13
Master EY
Master EY
 
Messaggi: 1106
Iscritto il: 15 dic 2011, 18:51

1
voti

[3] Re: Notazioni matematiche

Messaggioda Foto UtenteStokes » 15 lug 2016, 10:14

Solo un appunto da 'rompiscatole': l'impedenza del condensatore non è -jX_c ma jX_c, perché è la reattanza a essere negativa, -\frac{1}{\omega C}
Avatar utente
Foto UtenteStokes
456 1 5
Frequentatore
Frequentatore
 
Messaggi: 158
Iscritto il: 23 feb 2015, 15:04

1
voti

[4] Re: Notazioni matematiche

Messaggioda Foto UtenteDanteCpp » 15 lug 2016, 10:24

Si tratta solo di essere chiari, non vedo in vantaggio della tua definizione rispetto alla mia.
Avatar utente
Foto UtenteDanteCpp
4.730 3 9 13
Master EY
Master EY
 
Messaggi: 1106
Iscritto il: 15 dic 2011, 18:51

4
voti

[5] Re: Notazioni matematiche

Messaggioda Foto Utentedimaios » 15 lug 2016, 10:26

Candy ha scritto:
1. Cosa rappresenta H?
2. Cosa rappresenta la parentesi tonda?
3. Cosa rappresenta la lettera f?
4. Ed il tutto ha una dimensione? Quale?
5. Ed ancora: come si legge? Ossia, come si pronuncia quella notazione?
6. Per quale convenzione dovrebbe essere mnemonica? Solo per definizione e studio?


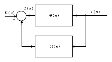
1. H è il blocco di retroazione convenzionalmente si usa questa lettera per indicare una funzione di trasferimento che riporta l'uscita al nodo d'errore.

U(s) : Ingresso del sistema ( riferimento )
Y(s) : Uscita del sistema
E(s) : Segnale d'errore
G(s) : Funzione di trasferimento del sistema
H(s) : Retroazione

Notare che tutte le variabili ed i blocchi sono in funzione della variabile compessa s ( espressi cioè con la trasformata di Laplace ).
Un caso particolare è s = j\omega = j 2\pi f ovvero sostituendo un numero complesso con sola parte immaginaria che risulta quindi funzione unicamente della frequenza.




2. Come nelle funzioni racchiude l'argomento della funzione stessa.
3. f è la frequenza.
4. H in genere viene utilizzato come blocco un ingresso un'uscita ma in generale potrebbe essere anche multi-input multi-output però convenzionalmente non si indica con la lettera H. La rappresentazione è relativa alla funzione di trasferimento che descrive come si comporta il blocco in frequenza.
5. Si legge come le funzioni classiche f(x) ="effe di x" H(f) ="acca di f"
6. E' una convenzione abbastanza diffusa utilizzare G ed H per indicare la catena diretta e quella di retroazione.
Ingegneria : alternativa intelligente alla droga.
Avatar utente
Foto Utentedimaios
30,2k 7 10 12
G.Master EY
G.Master EY
 
Messaggi: 3381
Iscritto il: 24 ago 2010, 14:12
Località: Behind the scenes

0
voti

[6] Re: Notazioni matematiche

Messaggioda Foto UtenteStokes » 15 lug 2016, 11:10

DanteCpp ha scritto:Si tratta solo di essere chiari, non vedo in vantaggio della tua definizione rispetto alla mia.

Sono d'accordo, però la prima volta che ho tentato l'esame di elettrotecnica sono stato bocciato per questa cosa, con tanto di lavata di capo davanti a tutti (probabilmente aveva appena litigato con la moglie :mrgreen: )
Avatar utente
Foto UtenteStokes
456 1 5
Frequentatore
Frequentatore
 
Messaggi: 158
Iscritto il: 23 feb 2015, 15:04

1
voti

[7] Re: Notazioni matematiche

Messaggioda Foto Utentedimaios » 15 lug 2016, 12:19

Dal punto di vista del calcolo non cambia nulla ma la definizione ufficiale è quella che ha riportato Foto UtenteStokes per cui deve essere impiegata quella.
Ingegneria : alternativa intelligente alla droga.
Avatar utente
Foto Utentedimaios
30,2k 7 10 12
G.Master EY
G.Master EY
 
Messaggi: 3381
Iscritto il: 24 ago 2010, 14:12
Località: Behind the scenes

0
voti

[8] Re: Notazioni matematiche

Messaggioda Foto UtenteDanteCpp » 15 lug 2016, 12:32

Bene, non mi ero mai posto il problema...
Avatar utente
Foto UtenteDanteCpp
4.730 3 9 13
Master EY
Master EY
 
Messaggi: 1106
Iscritto il: 15 dic 2011, 18:51

0
voti

[9] Re: Notazioni matematiche

Messaggioda Foto Utenteadmin » 15 lug 2016, 15:06

Stokes ha scritto:probabilmente aveva appena litigato con la moglie

Penso anch'io che sia una spiegazione, ma se la bocciatura è stata solo per quello, hai subito, dal mio punto di vista, una grave ingiustizia.
La reattanza è il rapporto tra valori efficaci di tensione e corrente sia nell'induttore che nel condensatore. Nessuno dei due valori è negativo.
Il segno meno lo si deve mettere per la relazione di fase quando si rappresentano le grandezze come fasori.

Poi, chiaro, l'impedenza è definita come numero complesso, la reattanza è la sua parte immaginaria e con una capacità la parte immaginaria è negativa.

Sono due approcci diversi.
Avatar utente
Foto Utenteadmin
196,6k 9 12 17
Manager
Manager
 
Messaggi: 11950
Iscritto il: 6 ago 2004, 13:14

0
voti

[10] Re: Notazioni matematiche

Messaggioda Foto Utentecronos80 » 15 lug 2016, 15:24

In termini esclusivamente matematici (non so se è la risposta che cercavi) facendo riferimento a:
H(f)=...
Candy ha scritto:Cosa rappresenta H?

H è il nome della funzione che viene esplicitata alla destra dell'uguale.
Candy ha scritto:Cosa rappresenta la parentesi tonda?

Rappresenta una dipendenza, cioè il valore/andamento che assume H dipende da ciò che c'è nella parentesi tonda.
Candy ha scritto:Cosa rappresenta la lettera f?

La variabile da cui dipende H, cambio f ed ottengo un cambiamento in H.
Candy ha scritto:Ed il tutto ha una dimensione? Quale?

Si e no, H(f) è una notazione, un'etichetta che si usa per identificare in maniera implicita una determinata sequenza di operazioni (leggi funzione). Quindi, in pratica H(f) assume le dimensioni di ciò che sta a destra dell'uguale...che potrebbe anche essere adimensionale.
Candy ha scritto:Ed ancora: come si legge? Ossia, come si pronuncia quella notazione?

"Acca di effe"
Candy ha scritto:Per quale convenzione dovrebbe essere mnemonica? Solo per definizione e studio?

Non ho capito che intendi.

P.S.: Quello che ho scritto è vero fino ad un certo punto e poi la terminologia ed i concetti si complicano ed astraggono, però in prima battuta è più comprensibile.
Non cercare di piegare il cucchiaio. È impossibile. Cerca invece di fare l'unica cosa saggia: giungere alla verità. Il cucchiaio non esiste. Allora ti accorgerai che non è il cucchiaio a piegarsi, ma sei tu stesso!
Avatar utente
Foto Utentecronos80
1.546 1 6 12
Expert EY
Expert EY
 
Messaggi: 636
Iscritto il: 17 gen 2012, 10:43

Prossimo

Torna a Matematica generale

Chi c’è in linea

Visitano il forum: Nessuno e 40 ospiti