Cos'è ElectroYou | Login Iscriviti

ElectroYou - la comunità dei professionisti del mondo elettrico

Cos(π/9)

Analisi, geometria, algebra, topologia...

Moderatori: Foto UtentePietroBaima, Foto UtenteIanero

1
voti

[1] Cos(π/9)

Messaggioda Foto UtentePietroBaima » 26 ago 2022, 1:48

Un problema che è stato annoso fino alla invenzione dei primi calcolatori automatici è stato quello di determinare con un certo numero di cifre decimali i valori di Sin e Cos.

Stasera mi limiterò al calcolo di Cos(π/9), che ha resistito agli attacchi per la sua determinazione numerica per molto tempo.

Un metodo molto efficiente per poterlo calcolare è questa radice continua:

2\cos\left(\frac{\pi}{9}\right)=\sqrt[3]{1+3\sqrt[3]{1+3\sqrt[3]{1+...}}}

Ora le domande:
1. Chi riesce a dimostrare l'uguaglianza?
2. Perché dico che è un metodo molto efficiente per il calcolo di cos(π/9)?

Buon lavoro
Pietro
Generatore codice per articoli:
nomi
Sul forum:
[pigreco]=π
[ohm]=Ω
[quadrato]=²
[cubo]=³
Avatar utente
Foto UtentePietroBaima
90,7k 7 12 13
G.Master EY
G.Master EY
 
Messaggi: 12207
Iscritto il: 12 ago 2012, 1:20
Località: Londra

0
voti

[2] Re: Cos(π/9)

Messaggioda Foto UtentePietroBaima » 26 ago 2022, 17:52

Non è poi così difficile!
Nessuno che abbia voglia di cimentarsi?
Generatore codice per articoli:
nomi
Sul forum:
[pigreco]=π
[ohm]=Ω
[quadrato]=²
[cubo]=³
Avatar utente
Foto UtentePietroBaima
90,7k 7 12 13
G.Master EY
G.Master EY
 
Messaggi: 12207
Iscritto il: 12 ago 2012, 1:20
Località: Londra

1
voti

[3] Re: Cos(π/9)

Messaggioda Foto UtenteRenzoDF » 26 ago 2022, 19:00

E diciamo che è una "storia" già vista, anche in elettrotecnica. :mrgreen:
"Il circuito ha sempre ragione" (Luigi Malesani)
Avatar utente
Foto UtenteRenzoDF
55,9k 8 12 13
G.Master EY
G.Master EY
 
Messaggi: 13189
Iscritto il: 4 ott 2008, 9:55

0
voti

[4] Re: Cos(π/9)

Messaggioda Foto UtentePietroBaima » 26 ago 2022, 19:03

già :mrgreen:
Generatore codice per articoli:
nomi
Sul forum:
[pigreco]=π
[ohm]=Ω
[quadrato]=²
[cubo]=³
Avatar utente
Foto UtentePietroBaima
90,7k 7 12 13
G.Master EY
G.Master EY
 
Messaggi: 12207
Iscritto il: 12 ago 2012, 1:20
Località: Londra

2
voti

[5] Re: Cos(π/9)

Messaggioda Foto UtenteRenzoDF » 26 ago 2022, 19:46

Io, da idraulico, per prima cosa eleverei al cubo, come seconda cosa userei la forma esponenziale ...
"Il circuito ha sempre ragione" (Luigi Malesani)
Avatar utente
Foto UtenteRenzoDF
55,9k 8 12 13
G.Master EY
G.Master EY
 
Messaggi: 13189
Iscritto il: 4 ott 2008, 9:55

1
voti

[6] Re: Cos(π/9)

Messaggioda Foto UtenteGioArca67 » 27 ago 2022, 0:34

Domani la scrivo decente...
Allegati
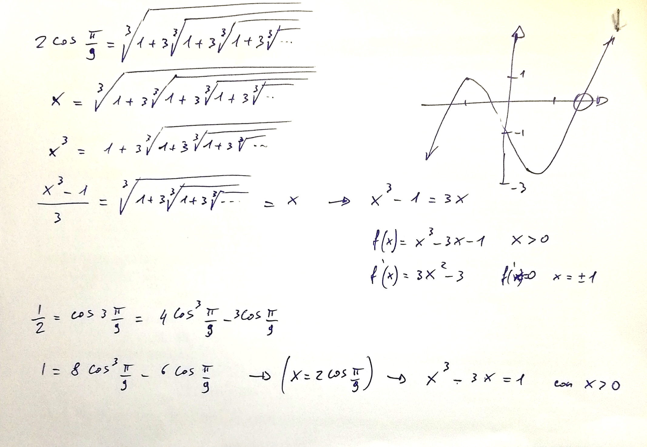
IMG_20220827_003212.jpg
Avatar utente
Foto UtenteGioArca67
4.585 4 6 9
Master EY
Master EY
 
Messaggi: 4595
Iscritto il: 12 mar 2021, 9:36

1
voti

[7] Re: Cos(π/9)

Messaggioda Foto UtenteRenzoDF » 27 ago 2022, 9:28

... forma esponenziale che mi avrebbe permesso di ottenere la sequente equivalenza

\cos^3(x)=\frac{1}{8}(2 \cos(3x)+6\cos (x))

e quindi dimostrare l'uguaglianza proposta da Pietro (il Grande). :D
"Il circuito ha sempre ragione" (Luigi Malesani)
Avatar utente
Foto UtenteRenzoDF
55,9k 8 12 13
G.Master EY
G.Master EY
 
Messaggi: 13189
Iscritto il: 4 ott 2008, 9:55

0
voti

[8] Re: Cos(π/9)

Messaggioda Foto UtentePietroBaima » 27 ago 2022, 9:35

Dimostrare la formula di triplicazione usando i numeri complessi credo sia il metodo più immediato.
Generatore codice per articoli:
nomi
Sul forum:
[pigreco]=π
[ohm]=Ω
[quadrato]=²
[cubo]=³
Avatar utente
Foto UtentePietroBaima
90,7k 7 12 13
G.Master EY
G.Master EY
 
Messaggi: 12207
Iscritto il: 12 ago 2012, 1:20
Località: Londra

0
voti

[9] Re: Cos(π/9)

Messaggioda Foto UtenteGioArca67 » 27 ago 2022, 11:33

Il perché sia molto efficiente però non lo riesco a determinare, anche perché risolvere un'equazione di terzo grado con Cardano non è né oneroso né complesso e servono solo 2 radici cubiche (più svariate quadrate).
Per calcolare una radice cubica ci vogliono circa 10 moltiplicazioni e 3 addizioni.
Avatar utente
Foto UtenteGioArca67
4.585 4 6 9
Master EY
Master EY
 
Messaggi: 4595
Iscritto il: 12 mar 2021, 9:36

0
voti

[10] Re: Cos(π/9)

Messaggioda Foto UtentePietroBaima » 27 ago 2022, 11:37

La soluzione di Cardano ti restituisce il valore numerico di Cos(π/9)?
Generatore codice per articoli:
nomi
Sul forum:
[pigreco]=π
[ohm]=Ω
[quadrato]=²
[cubo]=³
Avatar utente
Foto UtentePietroBaima
90,7k 7 12 13
G.Master EY
G.Master EY
 
Messaggi: 12207
Iscritto il: 12 ago 2012, 1:20
Località: Londra

Prossimo

Torna a Matematica generale

Chi c’è in linea

Visitano il forum: Nessuno e 8 ospiti