L'intenzione è realizzare un generatore di codici RSC per applicazioni ferroviarie.
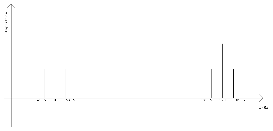
Tale sistema deve generare un segnale di corrente costituito da due portati, una a 50 Hz ed una a 178 Hz, entrambi modulate in ampiezza da un onda quadra con frequenza variabile.
Le ampiezza efficaci delle portanti sono rispettivamente
e
. Si dovrebbe avere la possibilità di aumentare la corrente di una sola delle due portanti fino a
.Il mezzo trasmissivo del segnale è un loop posizionato sui binari, quindi un semplice filo di rame con sezione di
e lunghezza di circa
, quindi ha un'impedenza di ingresso molto bassa (circa
).Il sistema che stavo pensando dovrebbe essere strutturato in questo modo:
1) Generatore di funzioni
2) Amplificatore audio
3) Rete di adattamento
4) Loop di corrente
Il problema principale è l'adattamento di impedenza
L'amplificatore audio disponibile (crown XLS 2502) ha la seguente power matrix:
Il minimo carico che l'amplificatore si aspetta in uscita è di
, quindi occorre per forza una rete di adattamento per collegarvi il loop (senza che l'ampli prenda fuoco).Facendo un po' di ricerche in giro, la soluzione ottimale per avere un adattamento di impedenza, oltre che ad un opportuna trasformazione tensione - corrente, dovrebbe essere un trasformatore dimensionato per avere una resistenza di ingresso compresa tra i
e
ed un segnale di corrente in uscita tale da poter avere una corrente efficace massima di
.Essendo il carico piccolo non dovrebbero occorrere potenze elevate, ad esempio già una potenza di 60 W dovrebbe garantire una corrente efficace:

Supponendo fin qui di non averne sparate di grosse.
Sapreste consigliarmi come procedere (oppure qualche fonte) per il dimensionamento/la ricerca di un trasformatore?
Ringrazio in anticipo a chi risponderà.

Elettrotecnica e non solo (admin)
Un gatto tra gli elettroni (IsidoroKZ)
Esperienza e simulazioni (g.schgor)
Moleskine di un idraulico (RenzoDF)
Il Blog di ElectroYou (webmaster)
Idee microcontrollate (TardoFreak)
PICcoli grandi PICMicro (Paolino)
Il blog elettrico di carloc (carloc)
DirtEYblooog (dirtydeeds)
Di tutto... un po' (jordan20)
AK47 (lillo)
Esperienze elettroniche (marco438)
Telecomunicazioni musicali (clavicordo)
Automazione ed Elettronica (gustavo)
Direttive per la sicurezza (ErnestoCappelletti)
EYnfo dall'Alaska (mir)
Apriamo il quadro! (attilio)
H7-25 (asdf)
Passione Elettrica (massimob)
Elettroni a spasso (guidob)
Bloguerra (guerra)











sono due onde quadre
le ampiezza delle sinusoidi.

