Cos'è ElectroYou | Login Iscriviti

ElectroYou - la comunità dei professionisti del mondo elettrico

Regime sinusoidale - atto ottavo :D

Circuiti, campi elettromagnetici e teoria delle linee di trasmissione e distribuzione dell’energia elettrica

Moderatori: Foto Utenteg.schgor, Foto UtenteIsidoroKZ

0
voti

[1] Regime sinusoidale - atto ottavo :D

Messaggioda Foto Utentemasomaso90 » 16 ago 2011, 16:54

Ciao a tutti :D

Ho svolto un altro tema d'esame, non credo di aver commesso catastrofi, ma per avere un parere autorevole ve lo sottopongo :D



Calcolare la potenza dissipata dal resistore R1.

Dati:

R=10\Omega
X_{L1}=10\Omega
X_{L2}=15\Omega
X_M=5\Omega
X_C=-5\Omega
V_g=10V

Al solito, nessuna informazione se ci si riferisce a valori massimi o efficaci, li supponiamo massimi.

----------------------------------------------------------------------------------------------------

Calcolo le impedenze:

Z_R=10\Omega
Z_{L1}=j10\Omega
Z_{L2}=j15\Omega
Z_M=j5\Omega
Z_C=-j5\Omega

---------------------------------------------------------------

Stabilisco le correnti di maglia con questi versi:





Le equazioni del mutuo induttore sono:

V_1=Z_{L1}X+Z_M Z
V_2=Z_M X+Z_{L2} Z

Z_M lo prendo positivo perche le correnti sono entranti dai pallini.


Le KVL sono invece:

Vg-V_1-Z_C(X-Y)=0
Z_C(Y-X)+RY+Z_C(Y-Z)=0
Z_C(Z-Y)+V_2+ZR=0

(Forse la scelta di chiamare una corrente Z non è stata troppo felice...)

Facendo fare il conti al buon Derive, che dopo un po' di lavoro ha smesso di sparare quadretti, trovo:

X=(72+126j)/65
Y=(-4+6j)/13
Z=-(4+2j)/5

Per il calcolo della potenza poi faccio:

P=RY^{*2}


Come vi sembra? :D

Grazie
Avatar utente
Foto Utentemasomaso90
109 4 7
Frequentatore
Frequentatore
 
Messaggi: 294
Iscritto il: 10 dic 2010, 21:52

0
voti

[2] Re: Regime sinusoidale - atto ottavo :D

Messaggioda Foto UtenteRenzoDF » 16 ago 2011, 21:04

masomaso90 ha scritto:Facendo fare il conti al buon Derive, che dopo un po' di lavoro ha smesso di sparare quadretti, trovo:...

Forse hai dato in pasto al "buon Derive" le equazioni fasoriali errate, il Buonissimo wxMaxima mi suggerisce

2011-08-16_205437.gif
2011-08-16_205437.gif (8.36 KiB) Osservato 3709 volte


masomaso90 ha scritto:Per il calcolo della potenza poi faccio:

P=RY^{*2}

Se con quell'asterisco indichi il coniugato di Y, questa me la spieghi ... e il due che fine ha fatto ?

masomaso90 ha scritto:Come vi sembra?

Bene come svolgimento simbolico (uso di Z a parte :-)) ... direi qualche problema con il "numerico" ... ma controlla, posso aver sbagliato anch'io qualche impedenza.

BTW vedo con piacere che hai seguito la similitudine alpina nelle KVL ... ma mi sarei aspettato molti segni negativi nella seconda e terza equazione ... "la polenta" si gira sempre dalla stessa parte :mrgreen:
"Il circuito ha sempre ragione" (Luigi Malesani)
Avatar utente
Foto UtenteRenzoDF
55,9k 8 12 13
G.Master EY
G.Master EY
 
Messaggi: 13189
Iscritto il: 4 ott 2008, 9:55

0
voti

[3] Re: Regime sinusoidale - atto ottavo :D

Messaggioda Foto Utentemasomaso90 » 16 ago 2011, 21:39

Ciao Renzo,

Ho pasticciato la potenza :D

Riguardo i segni meno, bisogna fare le cose equamente, o per tutti o per nessuno..ma meglio per nessuno :D

(La similitudine alpina ha segnato un momento cruciale nella comprensione dei versi, grazie :D)

Con Maxima non riesco ad impostare sistemi con la j, mi dice che non è un operatore riconosciuto...
Ho provato anche con, non ci crederai mai, WORD :D

Ma un sistema di 4 equazioni nel campo dei complessi era troppo :D

Cosi sono tornato al "buon Derive" :D


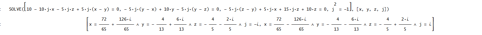
I sistema è questo, che ti posto senza latex cosi, se vuoi, da poterlo ricopiare direttamente sul calcolatore:

10 - 10·j·x - 5·j·z + 5·j·(x - y) = 0,
- 5·j·(y - x) + 10·y - 5·j·(y - z) = 0,
- 5·j·(z - y) + 5·j·x + 15·j·z + 10·z = 0,
j^2 = -1

Cattura.PNG
Cattura.PNG (9.16 KiB) Osservato 3689 volte



Ho ricontrollato le impedenze nella tua seconda riga, ma sono corrette, dov'è l'inghippo? :D

Grazie


-------------------------

Forse ho capito, mi da 2 risultati, per j=i e j=-i, perche lui non sa che j è proprio i..

I risultati corretti sono quelli sulla destra :D

Risolto :D
Avatar utente
Foto Utentemasomaso90
109 4 7
Frequentatore
Frequentatore
 
Messaggi: 294
Iscritto il: 10 dic 2010, 21:52

0
voti

[4] Re: Regime sinusoidale - atto ottavo :D

Messaggioda Foto UtenteRenzoDF » 16 ago 2011, 22:55

masomaso90 ha scritto:Con Maxima non riesco ad impostare sistemi con la j, mi dice che non è un operatore riconosciuto...

In Maxima si usa %i, ma se definisci j:%i allora "capisce" anche cosa vuol dire j ... non hai visto qual'e' la mia prima riga? ;-)

masomaso90 ha scritto:Forse ho capito, mi da 2 risultati, per j=i e j=-i, perche lui non sa che j è proprio i..

Usi Derive e non sai nemmeno come si scrive l'unita' immaginaria #-o
a) Dalla barra simboli
b) #i
c) CTRL+I

Il risultato che ho ottenuto e' questo

2011-08-16_234104.gif
2011-08-16_234104.gif (3.43 KiB) Osservato 3647 volte


NB Per chi volesse provare la Demo a 30 Giorni di DERIVE 6.1 ...

ftp://ftp.campustore.it/derive/trial_ve ... talian.exe
(senza dover iscriversi a http://www.campustore.it/)
"Il circuito ha sempre ragione" (Luigi Malesani)
Avatar utente
Foto UtenteRenzoDF
55,9k 8 12 13
G.Master EY
G.Master EY
 
Messaggi: 13189
Iscritto il: 4 ott 2008, 9:55

0
voti

[5] Re: Regime sinusoidale - atto ottavo :D

Messaggioda Foto Utentemasomaso90 » 17 ago 2011, 10:20

Come tu ben sai, noi con i complessi abbiamo fatto poco niente :D

Quindi pensavo che inserire la proprietà fondamentale dell'unità immaginaria, j^2=-1, fosse sufficiente :D

Lo era, ma in parte, ora che lo so basta un po d'attenzione in più :D

ahahahahahah

Grazie :D
Avatar utente
Foto Utentemasomaso90
109 4 7
Frequentatore
Frequentatore
 
Messaggi: 294
Iscritto il: 10 dic 2010, 21:52

0
voti

[6] Re: Regime sinusoidale - atto ottavo :D

Messaggioda Foto UtenteRenzoDF » 17 ago 2011, 10:23

Questo invece e' il metodo "Pisano", supposta unitaria la corrente in L2, ed indicata con x la corrente in L1

\begin{align}
  & V_{B}=1\cdot R+V_{1}=10+j15+j5x \\ 
 & I_{C_{2}}=\frac{V_{B}}{-j5}=-3-x+j2 \\ 
 & I_{R}=1+I_{C_{2}}=-2-x+j2 \\ 
\end{align}

\begin{align}
  & V_{A}=V_{B}+RI_{R}=-10+j35+x(-10+j5) \\ 
 & I_{C_{2}}=\frac{V_{A}}{-j5}=-7-j2-x(1+j2) \\ 
\end{align}

x=I_{R}+I_{C_{2}}=-9-2x-j2x\quad \to \quad x=\frac{j18-27}{13}

\begin{align}
  & V_{g}^{\prime}=V_{A}+V_{1}=-10-j5 \\ 
 & k=\frac{V_{g}}{V_{g}^{\prime}}=-\frac{2}{2+j} \\ 
 & I_{Rvera}=kI_{R}=-\frac{4}{13}-j\frac{6}{13} \\ 
\end{align}

Come al solito, senza ombra di dubbio, molto piu' semplice ;-)
"Il circuito ha sempre ragione" (Luigi Malesani)
Avatar utente
Foto UtenteRenzoDF
55,9k 8 12 13
G.Master EY
G.Master EY
 
Messaggi: 13189
Iscritto il: 4 ott 2008, 9:55


Torna a Elettrotecnica generale

Chi c’è in linea

Visitano il forum: Nessuno e 24 ospiti