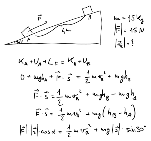
Un blocco di massa 1,5kg viene tirato su per un piano inclinato liscio da una forza F costante= 15N, parallela al piano. Il corpo parte da fermo nella posizione A. Calcolare la velocità del blocco nella posizione B, distante 4m da A, se il piano è inclinato di 30° rispetto ad un piano orizzontale.
Ho un paio di dubbi: in posizione B l'energia cinetica non si sarebbe trasformata tutta in potenziale?
Inoltre, quando calcolo l'energia potenziale non potrei fare mgh e trovare h scomponendo la F=15 N?
piano inclinato
Moderatori:
IsidoroKZ,
PietroBaima,
Ianero
21 messaggi
• Pagina 1 di 3 • 1, 2, 3
1
voti
Che bello, un altro quiz, per aiutarmi a ricordare Fisica 1 !
Lo risolverei con le forze, supponendo che gli attriti siano nulli.
La forza resistente della massa lungo l'asse inclinato vale:
Fr = g x M x sen(30) = 9,81 x 1,5 x 0,5 = 7,35 N
a accelerazione = (F - Fr)/Massa = (15-7,35)/1,5 = 5,1 m/s^2
V = a x tempo
da S = (1/2)x a x t^2 imponendo S = 4 ricavi t tempo
poi calcoli la velocità voluta.
Poi chissà se il mio procedimento è corretto !
p.s. Lo so che dovrei usare Latex per le formule!

Lo risolverei con le forze, supponendo che gli attriti siano nulli.
La forza resistente della massa lungo l'asse inclinato vale:
Fr = g x M x sen(30) = 9,81 x 1,5 x 0,5 = 7,35 N
a accelerazione = (F - Fr)/Massa = (15-7,35)/1,5 = 5,1 m/s^2
V = a x tempo
da S = (1/2)x a x t^2 imponendo S = 4 ricavi t tempo
poi calcoli la velocità voluta.
Poi chissà se il mio procedimento è corretto !
p.s. Lo so che dovrei usare Latex per le formule!

1
voti
Mary898 ha scritto:in posizione B l'energia cinetica non si sarebbe trasformata tutta in potenziale?
Se il corpo fosse fermo in B e senza forze esterne (a parte la forza peso, considerata all'interno dell'energia potenziale gravitazionale), avremmo potuto scrivere effettivamente che la cinetica sarebbe finita in potenziale.
Essendoci la forza esterna, dovremmo tenere conto anche del lavoro della forza sul corpo.
Per di più, in B non è fermo, dunque l'energia cinetica non è sparita.
Ti torna?
0
voti
si, capito ed invece scomporre F per trovare h? Non mi spiego perché faccia s sin dell'angolo
0
voti
Sono riuscita a risolverlo però non riesco a spiegarmi perché se provo a trovare h scomponendo il vettore F per usarlo nell'energia potenziale non venga il risultato.. purtroppo non mi lascia aggiungere una foto di ciò che intendo 
0
voti
Non ho capito benissimo... fa vedere come volevi fare.
Ti dà errore nel caricamento? (Tab "invia allegato", "scegli file", "aggiungi file", "aggiungi in linea col testo").
P.S.: Ti consiglio di risolverlo con lavoro ed energia, visto il tipo di problema. Ma la cosa migliore per padroneggiare i concetti è risolverlo in entrambi i modi e notare che viene uguale.
Ti dà errore nel caricamento? (Tab "invia allegato", "scegli file", "aggiungi file", "aggiungi in linea col testo").
P.S.: Ti consiglio di risolverlo con lavoro ed energia, visto il tipo di problema. Ma la cosa migliore per padroneggiare i concetti è risolverlo in entrambi i modi e notare che viene uguale.
0
voti
ecco sono riuscita
1
voti
Con lavoro ed energia lo farei così:
Secondo me tu hai commesso alcuni errori che si sono compensati tra loro
Tieni presente il significato di
in questo caso (non è l'angolo di inclinazione del piano nella mia soluzione).
E' tutto limpido, chiaro e cristallino come l'acqua fresca di montagna?
Sei mancina?
Secondo me tu hai commesso alcuni errori che si sono compensati tra loro
Tieni presente il significato di
in questo caso (non è l'angolo di inclinazione del piano nella mia soluzione).E' tutto limpido, chiaro e cristallino come l'acqua fresca di montagna?
Sei mancina?
21 messaggi
• Pagina 1 di 3 • 1, 2, 3
Chi c’è in linea
Visitano il forum: Nessuno e 6 ospiti

Elettrotecnica e non solo (admin)
Un gatto tra gli elettroni (IsidoroKZ)
Esperienza e simulazioni (g.schgor)
Moleskine di un idraulico (RenzoDF)
Il Blog di ElectroYou (webmaster)
Idee microcontrollate (TardoFreak)
PICcoli grandi PICMicro (Paolino)
Il blog elettrico di carloc (carloc)
DirtEYblooog (dirtydeeds)
Di tutto... un po' (jordan20)
AK47 (lillo)
Esperienze elettroniche (marco438)
Telecomunicazioni musicali (clavicordo)
Automazione ed Elettronica (gustavo)
Direttive per la sicurezza (ErnestoCappelletti)
EYnfo dall'Alaska (mir)
Apriamo il quadro! (attilio)
H7-25 (asdf)
Passione Elettrica (massimob)
Elettroni a spasso (guidob)
Bloguerra (guerra)





