Cos'è e a che serve
Una stessa struttura del modello matematico di fenomeni fisici diversi implica una analogia cui può essere utile ricorrere quando esistono metodi di analisi molto efficaci o con i quali si opera con maggior sicurezza, magari solo per abitudine. Per un "elettrico" è comodo poter determinare grandezze meccaniche ragionando su circuiti elettrici. Il circuito equivalente del motore a corrente continua a magneti permanenti (e ad eccitazione indipendente più in generale) si colloca in questa prospettiva.
Il motore è un'interfaccia
Un motore elettrico è un'interfaccia tra il mondo elettrico ed il mondo meccanico. Le grandezze tipiche del circuito elettrico, o grandezze descrittive, sono, per ogni istante, la tensione e(t) e la corrente i(t), mentre quelle di un motore la coppia motrice Cm(t) e la velocità di rotazione w(t). La comunicazione tra il modo meccanico ed il modo elettrico avviene tramite la potenza trasferita che, in situazioni ideali avviene senza perdite ed è data dal prodotto delle grandezze descrittive.

fig. 1
Quanto detto è sintetizzato nelle relazioni

K è l'interfaccia elettro-meccanica, detta più comunemente costante di tensione o di coppia. E' legata al flusso magnetico di macchina dei magneti permanenti (o dalla corrente dell'avvolgimento di eccitazione) ed è uguale al prodotto del numero di poli magnetici per il flusso di un singolo polo, ed alla struttura dell'avvolgimento d'armatura: numero di conduttori e di vie interne.
Il circuito equivalente elettrico
Dal punto di vista elettrico il motore equivale ad un bipolo costituito dalla f.c.e.m. e, che si ha tra le spazzole per effetto della rotazione dell'indotto o armatura, in serie alla resistenza R di quest'ultima, vista dalle spazzole. Il circuito (fig. 2) permette di calcolare la corrente assorbita dal motore ad una data velocità. Per una più precisa valutazione della corrente durante un transitorio veloce, occorrerebbe considerare anche l'induttanza dell'avvolgimento d'armatura che qui è stata trascurata.

fig. 2
Ricaveremo ora un altro circuito elettrico equivalente per la parte meccanica, per mezzo del quale è possibile calcolare velocità e coppia. Sfrutteremo l'analogia esistente tra le grandezze meccaniche e quelle elettriche di un circuito RC serie. Il calcolo di tensione e corrente in quest'ultimo circuito permette di determinare rispettivamente velocità e coppia.
Il circuito RC serie
Consideriamo un circuito RC alimentato da un generatore di tensione costante (fi. 3).

fig. 3
Sappiamo che per calcolare l'andamento della tensione ai capi del condensatore, si procede in questo modo:

Il circuito equivalente elettromeccanico
a vuoto
Consideriamo ora un motore a corrente continua a magneti permanenti (eccitazione indipendente) alimentato da un generatore di tensione costante U. Applicando la seconda legge della dinamica si arriverà ad una equazione formalmente identica a quella scritta che potrà essere rappresentata con un circuito elettrico.

Si può allora considerare il circuito RC* di fig. 4 come l'equivalente elettrico della parte meccanica del motore a corrente continua ad eccitazione indipendente. La corrente calcolata corrisponde alla coppia motrice diviso la costante di coppia.

fig.4
ed a carico.
Il circuito visto interpreta il funzionamento a vuoto di un motore, quindi permette di determinare il tempo di avviamento o la velocità ad un dato istante del transitorio. A regime la corrente del circuito, quindi anche la coppia, è nulla e la velocità è la massima determinata dalla tensione applicata.
Nel caso in cui il motore azioni un carico, a regime assorbe una corrente IC corrispondente alla coppia resistente CC del carico. Inoltre il momento di inerzia del carico JC si aggiunge a quello del motore, modificando la costante di tempo meccanica
Dal punto di vista del circuito elettrico equivalente il carico meccanico può allora essere rappresentato da un generatore di corrente IC = CC/K che ha in parallelo un condensatore di valore C*c= JC / K2. Per tener conto anche delle perdite meccaniche per attrito e ventilazione, che rendono diversa la velocità teoricamente ottenibile, per la presenza di una coppia d'attrito C0, cui corrisponde una corrente I0 (corrente a vuoto), basta inserire in parallelo al carico un ulteriore generatore di corrente di valore I0 = C0 / K. In definitiva il circuito elettrico equivalente al motore diventa dove si è tenuto conto anche dell'induttanza L dell'avvolgimento di armatura, inizialmente trascurata (fig. 5).

fig.5
che si semplifica in questo di fig. 6

fig. 6
Esercizi
1)
Un motore cc a magneti permanenti aziona un carico che offre una coppia resistente costante Cc=0,2 N m ed ha un momento di inerzia Jc=3*10-5 kg m2. La tensione di alimentazione costante vale U= 40 V. Il motore ha una costante di coppia K= 0,071 N m / A, una resistenza di armatura di R=1,8 ohm.
Determinare la velocità a regime, il tempo impiegato a raggiungerla, la potenza a regime
2)
Tracciare l'andamento della velocità di un motore a corrente continua che aziona un carico quando al motore viene applicata direttamente la tensione nominale.
Le caratteristiche del motore sono
|
U= |
160 |
V |
|
R= |
0,17 |
ohm |
|
L= |
0,0053 |
H |
|
J= |
0,0563 |
kg m2 |
|
K= |
0,78 |
V s |
|
I0= |
2 |
A |
Quelle del carico
|
CC= |
20 |
N m |
|
Jc= |
0,01 |
kg m2 |
Soluzione
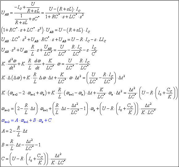
Utilizzeremo il circuito equivalente elettromeccanico per ricavare l'equazione differenziale della velocità. L'equazione differenziale sarà poi risolta con il metodo delle differenze finite utilizzando un foglio elettronico che permetterà di tracciare il grafico, come illustrato nell'articolo "Le differenze finite in un foglio"
Ecco il procedimento. Si noti che per ricavare l'equazione differenziale si sono impostate le equazioni del circuito usando le impedenze operatoriali. La velocità cercata è la tensione tra Ae B, la quale è determinata ricorrendo al teorema di Millmann.
![]() |
Il grafico che si ottiene è il seguente (fig.7)

fig. 7
Download
Il foglio CircEqMcc.xls è prelevabile al seguente indirizzo, che va copiato ed incollato sulla barra degli indirizzi:
http://xoomer.alice.it/variant/Mcc.zip
Bibliografia
Macchine Elettriche G.Bobbio ; S. Sammarco ed. Petrini

Elettrotecnica e non solo (admin)
Un gatto tra gli elettroni (IsidoroKZ)
Esperienza e simulazioni (g.schgor)
Moleskine di un idraulico (RenzoDF)
Il Blog di ElectroYou (webmaster)
Idee microcontrollate (TardoFreak)
PICcoli grandi PICMicro (Paolino)
Il blog elettrico di carloc (carloc)
DirtEYblooog (dirtydeeds)
Di tutto... un po' (jordan20)
AK47 (lillo)
Esperienze elettroniche (marco438)
Telecomunicazioni musicali (clavicordo)
Automazione ed Elettronica (gustavo)
Direttive per la sicurezza (ErnestoCappelletti)
EYnfo dall'Alaska (mir)
Apriamo il quadro! (attilio)
H7-25 (asdf)
Passione Elettrica (massimob)
Elettroni a spasso (guidob)
Bloguerra (guerra)
