Indice |
Premessa
Leggendo gli articoli (preziosissimi) di Admin sulle linee con carichi distribuiti mi è venuto in mente di approfondire l'analogia con quanto studiato (ahimè, nella preistoria…) nel corso di Scienza delle Costruzioni. Ai miei tempi, anche per gli ingegneri elettrotecnici era un esame obbligatorio (assieme a quello di Tecnica delle Costruzionii, che trattava del cemento armato) per potersi iscrivere all’Albo degli Ingegneri. Tuttavia ho un bel ricordo di quegli esami e leggendo gli articoli di Admin ho pensato di scrivere un articolo che mi facesse riandare – solo con l’immaginazione, beninteso – ai tempi della giovinezza.
Per la comprensione di questo articolo (non semplicissimo per chi ha a che fare solo con correnti, tensioni e impedenze) è necessario fare alcune premesse che spero non siano enigmatiche. Gli esperti mi scuseranno qualche approssimazione, ma se l’ho fatta è per rendere più semplice l’analogia. Si chiede clemenza, pertanto, nei passaggi “ad usum Delphini”: forse peccheranno di precisione ma servono a rendere più digeribile il piatto.
La Statica e le azioni elementari
Dunque, siamo nel campo della statica, ovvero trattiamo di quella “ parte della meccanica che studia le condizioni di equilibrio di un corpo materiale, ovvero le condizioni necessarie affinché un corpo, inizialmente in quiete, resti in quiete anche dopo l’intervento di azioni esterne dette forze.”
Data una struttura (per esempio un’asta rigida), possiamo immaginare di analizzarne una piccola porzione.
In quest’ultima, le azioni statiche vengono usualmente individuate in:
- azione normale N (forze di trazione o di compressione);
- azione di taglio T (forze perpendicolari all’asse della struttura);
- momento flettente M (momento di forze che tende a far ruotare la struttura)
Per convenzione possiamo fissare il verso ritenuto positivo di queste azioni:
per l’azione normale:
ovvero si ritiene positiva l’azione di compressione, e perciò sarà negativa quella di compressione;
per l’azione di taglio:
ovvero si ritiene positiva l’azione di forze come in figura, perpendicolari all’asse e molto vicine fra loro, che provocherebbero uno scorrimento trasversale delle facce con una rotazione trascurabile (la porzione si deformerebbe a forma di “Z”);
per il momento flettente:
ovvero l’azione di una o più forze, rispetto ad un punto, che provocherebbero una rotazione.
Per come è stata rappresentata in figura, l’azione dei momenti farebbe tendere le fibre superiori della porzione (fibre tese) e farebbe invece comprimere quelle inferiori (fibre compresse).
Si può calcolare, ovviamente, il momento di una forza come prodotto dell’intensità della forza per la distanza perpendicolare tra la retta d’azione della forza e il punto scelto.
Trascuriamo, perché non utile al ragionamento, il momento torcente.
Le forze esterne e le reazioni vincolari
Se un corpo rigido, collocato su un piano, fosse sottoposto all’azione di forze esterne e fosse completamente libero di muoversi, potrebbe eseguire tre tipi di movimento:
- traslazione orizzontale
- traslazione verticale
- rotazione attorno ad un asse
Questi possibili movimenti individuano il grado di libertà di una struttura.
Pertanto, un’asta rigida su un piano ha tre gradi di libertà.
Poiché lo scopo della statica è studiare il comportamento di corpi in equilibrio, il nostro corpo, assimilato nel nostro caso ad un’asta rigida, ha bisogno di vincoli che ne impediscano il movimento. Ogni vincolo pertanto potrà reagire all’applicazione di forze esterne con forze e momenti che si chiamano reazioni vincolari.
I tipi di vincoli più semplici sono:
- il carrello o appoggio semplice: è un vincolo semplice ed impedisce lo spostamento del punto vincolato lungo l'asse ortogonale al piano di scorrimento del carrello. Lascia al corpo due libertà di movimento: la traslazione lungo il piano di scorrimento del carrello e la rotazione attorno al punto vincolato. La reazione vincolare corrisponde ad un forza applicata nel punto vincolato e diretta lungo la direzione ortogonale al piano di scorrimento del carrello
- la cerniera, è un vincolo doppio che impedisce lo spostamento del punto vincolato lungo una qualsiasi direzione del piano del problema. Lascia il corpo libero di ruotare intorno al punto stesso. Reagisce con una forza applicata al punto e diretta secondo una qualsiasi direzione appartenente al piano del problema: tale forza può essere rappresentata dalle sue due componenti su due assi ortogonali.
- l’ incastro è un vincolo triplo che impedisce al corpo sia le due componenti di traslazione che la rotazione. Reagisce attraverso due componenti di forza su due diverse direzioni e una coppia (momento di incastro)
Se, dunque, desideriamo che l’asta non si muova, occorre che essa abbia almeno tre gradi di vincolo. Ci sarebbero dei casi particolari da analizzare, ma per non dilungare troppo il discorso limitiamoci a dire che in generale:
- una struttura è isostatica se i gradi di libertà sono uguali ai gradi di vincolo;
- una struttura è iperstatica se il gradi di libertà sono inferiori ai gradi di vincolo: in tal caso il grado di iperstaticità è dato dalla differenza tra i gradi di vincolo e i gradi di libertà.
Le condizioni di equilibrio saranno perciò costituite da quelle relazioni, contenenti le forze esterne e le reazioni vincolari, che assicurano che la struttura non trasli (verticalmente e orizzontalmente) e non ruoti:
(la somma delle componenti assiali deve essere nulla)
(la somma delle componenti perpendicolari deve essere nulla)
(la somma dei momenti deve essere nulla)
Un caso particolare: la trave incastrata ad un estremo
Se abbiamo un’asta incastrata ad un estremo, saremo in presenza di una struttura isostatica, poiché i gradi di libertà dell’asta (alla quale daremo il nome di “trave”) sono tre e, ugualmente, i gradi di vincolo dell’incastro sono tre.
Se questa trave, di lunghezza L, viene caricata con forze verticali (sarebbe meglio dire perpendicolari all’asse della trave) si hanno la seguenti situazioni:
caso a) trave caricata con un carico concentrato all’estremità:
Infatti, non essendoci azioni normali (che chiameremo per semplicità orizzontali), le equazioni di equilibrio sono:
RV − F = 0
Si nota che:
- la reazione vincolare verticale, per impedire la traslazione verso l’alto, deve avere direzione opposta alla forza esterna;
- il momento di incastro, per impedire la rotazione della trave, deve avere segno opposto al momento della forza esterna calcolato con riferimento all’incastro stesso.
Si possono allora elaborare, seguendo le convenzioni precedenti, i grafici relativi a:
Questi grafici hanno lo scopo di rappresentare il valore delle azioni di taglio e di momento in un qualsiasi punto della trave. Per tracciarli basta scegliere uno dei due estremi della trave e procedere verso l’altro estremo. In tal modo, per esempio, nel punto di mezzeria della trave si avrà:
T = F e
Se il carico non fosse collocato all’estremo ma in un punto intermedio, il ragionamento e i relativi grafici sarebbero del tutto simili, perché la parte della trave a destra del punto di applicazione del carico sarebbe scarica e pertanto potremo eliminarla e ricondurci in tal modo al caso appena esaminato.
caso b) trave caricata con due o più carichi:
E’ evidente, in questo caso, l’applicazione del Principio di Sovrapposizione degli Effetti
Per i grafici si avrà:
A questo punto, anche i pochi (resistenti) lettori si saranno chiesti “ma dove vuole andare a parare?” Credo però che tutti abbiano già capito o almeno sospettato: se sostituiamo
| Trave |
| linea elettrica |
| Forze di taglio e punto di applicazione |
| correnti derivate e punto di derivazione |
| incastro |
| punto di alimentazione in tensione |
| Reazione vincolare RV |
| corrente erogata dall’alimentazione |
| Momenti delle forze |
| momenti amperometrici (o momenti elettrici) |
ebbene, otteniamo un ragionamento analogo a quello degli articoli citati di Admin sulle linee con carichi distribuiti.
Un caso interessante, che non è stato trattato in quegli articoli, è anche il seguente:
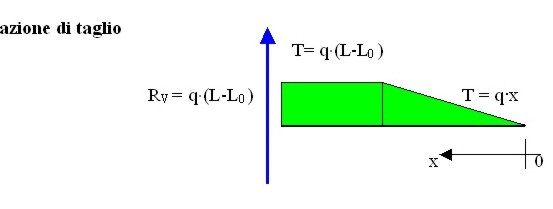
caso c) trave caricata con carichi uniformemente distribuiti:
In questo caso il carico è distribuito in maniera talmente fitta da poter essere considerato uniforme.
E’ una situazione alla quale può essere assimilata, per analogia, ad una linea di illuminazione lunga e con punti di derivazione molto fitti, e con un tratto iniziale senza derivazioni.
In questo caso, per il calcolo del momento di incastro, si può fare riferimento al baricentro dei carichi, disposto nella mezzeria dell’uniforme distribuzione.
Se il carico fosse distribuito uniformemente lungo tutta la trave, basterebbe porre L0 = 0.
e, per analogia, il grafico rappresenterebbe il valore della corrente nella sezione x di una linea, mentre la reazione vincolare RV rappresenterebbe la corrente erogata dall’alimentazione. Il valore q, infine, sarebbe assimilabile ad una sorta di distribuzione lineare degli assorbimenti, esprimibile in
Partendo dall’estremo destro, l’andamento sarà parabolico
e, una volta completato il tratto della distribuzione uniforme, l’andamento è rettilineo fino all’incastro.
Si può osservare che, in ogni punto della trave, la relazione tra azione di taglio e momento flettente risulta:
![T\left( x \right) = \frac{{\rm{d}}}{{{\rm{d}}x}}\left[ {M\left( x \right)} \right]](/mediawiki/images/math/1/d/1/1d1477bb8985acc882f50b145542bb32.png)
Ovvero che, in ogni punto, l’azione di taglio è uguale alla derivata prima (rispetto alla dimensione x) del momento flettente.
Questo aspetto sarà utile nel caso seguente. Per ora, per continuare l’analogia, possiamo dire che in ogni sezione della linea la corrente risulta uguale alla derivata prima del momento amperometrico (fatta rispetto alla dimensione x).

Elettrotecnica e non solo (admin)
Un gatto tra gli elettroni (IsidoroKZ)
Esperienza e simulazioni (g.schgor)
Moleskine di un idraulico (RenzoDF)
Il Blog di ElectroYou (webmaster)
Idee microcontrollate (TardoFreak)
PICcoli grandi PICMicro (Paolino)
Il blog elettrico di carloc (carloc)
DirtEYblooog (dirtydeeds)
Di tutto... un po' (jordan20)
AK47 (lillo)
Esperienze elettroniche (marco438)
Telecomunicazioni musicali (clavicordo)
Automazione ed Elettronica (gustavo)
Direttive per la sicurezza (ErnestoCappelletti)
EYnfo dall'Alaska (mir)
Apriamo il quadro! (attilio)
H7-25 (asdf)
Passione Elettrica (massimob)
Elettroni a spasso (guidob)
Bloguerra (guerra)