Cos'è ElectroYou | Login Iscriviti

ElectroYou - la comunità dei professionisti del mondo elettrico

Collegamenti cronotermostato e relè

Elettronica lineare e digitale: didattica ed applicazioni

Moderatori: Foto Utentecarloc, Foto Utenteg.schgor, Foto UtenteBrunoValente, Foto UtenteIsidoroKZ

0
voti

[21] Re: Collegamenti cronotermostato e relè

Messaggioda Foto Utentegabronzio » 2 feb 2014, 18:29

abusivo ha scritto:Forse riscontrerai anche tu che le batterie del crono termostato dureranno poco.

potrei risolvere collegando un alimentatore 3v al posto delle batterie, no?
Avatar utente
Foto Utentegabronzio
28 4
New entry
New entry
 
Messaggi: 88
Iscritto il: 9 mag 2013, 20:59

0
voti

[22] Re: Collegamenti cronotermostato e relè

Messaggioda Foto Utenteabusivo » 2 feb 2014, 18:36

Questo è poco ma sicuro.
Solo, se va via la luce, si sprogramma e devi ricominciare tutta la procedura.
Una volta sono tornato a 'casa' alle tre del mattino dopo che c'era stata una sospensione ENEL durante il giorno.
Sai come è andata a finire?
Ho dormito in macchina!
Avatar utente
Foto Utenteabusivo
13,3k 4 7 10
Master
Master
 
Messaggi: 7008
Iscritto il: 16 ott 2012, 18:43
Località: L'Aquila

0
voti

[23] Re: Collegamenti cronotermostato e relè

Messaggioda Foto Utentegabronzio » 2 feb 2014, 18:42

abusivo ha scritto:Questo è poco ma sicuro.
Solo, se va via la luce, si sprogramma e devi ricominciare tutta la procedura.
Una volta sono tornato a 'casa' alle tre del mattino dopo che c'era stata una sospensione ENEL durante il giorno.
Sai come è andata a finire?
Ho dormito in macchina!

Quindi metto l'alimentatore in parallelo con 2 batterie ricaricabili.
Però continuo a non capire il collegamento che dal cronotermostato va al relè e ai termosifoni..
Avatar utente
Foto Utentegabronzio
28 4
New entry
New entry
 
Messaggi: 88
Iscritto il: 9 mag 2013, 20:59

0
voti

[24] Re: Collegamenti cronotermostato e relè

Messaggioda Foto Utenteabusivo » 2 feb 2014, 18:50

Eppure il tuo ultimo disegno era giusto.
Una volta che avrai in mano il relè sara tutto più chiaro.
Dove hai scritto 'termosifoni' ci va il solenoide.
Quel che rimane è un interruttore!
Quindi ricominci da capo; spina, poi interrompi una fase con il relè e poi te ne vai ai termosifoni.
Cos'è che non è chiaro?
Avatar utente
Foto Utenteabusivo
13,3k 4 7 10
Master
Master
 
Messaggi: 7008
Iscritto il: 16 ott 2012, 18:43
Località: L'Aquila

1
voti

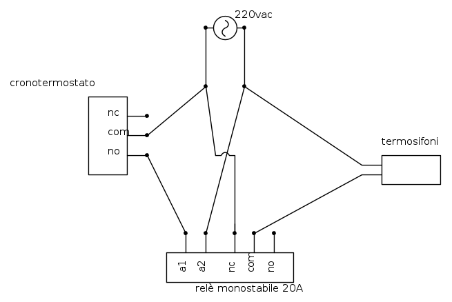
[25] Re: Collegamenti cronotermostato e relè

Messaggioda Foto Utentegabronzio » 2 feb 2014, 19:29

Avatar utente
Foto Utentegabronzio
28 4
New entry
New entry
 
Messaggi: 88
Iscritto il: 9 mag 2013, 20:59

0
voti

[26] Re: Collegamenti cronotermostato e relè

Messaggioda Foto Utenteabusivo » 2 feb 2014, 19:36

Il NA del relè va collegato sull'altra fase dell'alimentazione a 220, per capirsi dove è collegato anche il COM del crono termostato.
Avatar utente
Foto Utenteabusivo
13,3k 4 7 10
Master
Master
 
Messaggi: 7008
Iscritto il: 16 ott 2012, 18:43
Località: L'Aquila

1
voti

[27] Re: Collegamenti cronotermostato e relè

Messaggioda Foto Utentegabronzio » 2 feb 2014, 19:55

abusivo ha scritto:Il NA del relè va collegato sull'altra fase dell'alimentazione a 220, per capirsi dove è collegato anche il COM del crono termostato.

cosi è perfetto quindi?

Ultima modifica di Foto Utentegabronzio il 2 feb 2014, 20:19, modificato 3 volte in totale.
Avatar utente
Foto Utentegabronzio
28 4
New entry
New entry
 
Messaggi: 88
Iscritto il: 9 mag 2013, 20:59

0
voti

[28] Re: Collegamenti cronotermostato e relè

Messaggioda Foto Utenteabusivo » 2 feb 2014, 19:57

gabronzio ha scritto:...cosi è perfetto quindi?...

Hai capito bene, bel lavoro!
Spero di esserti stato utile!
Avatar utente
Foto Utenteabusivo
13,3k 4 7 10
Master
Master
 
Messaggi: 7008
Iscritto il: 16 ott 2012, 18:43
Località: L'Aquila

0
voti

[29] Re: Collegamenti cronotermostato e relè

Messaggioda Foto Utentemir » 2 feb 2014, 20:06

OT.
Foto Utentegabronzio, in [13] avevo rieditato il tuo disegno (postato in immagine .png) in fidocadj (.fcd) suggerendoti l'utilizzo di fidocadj, software semplice ed utile di disegno elettronico ora vedo che continui a postare immagini .png ...quindi non in formato .jpg e per giunta di dimensioni inutilmente grandi... disinteressandoti delle mie indicazioni ...
ti invito pertanto a leggere il discalimer di ElectroYou accettato al momento dell'iscrizione, ed anche questa semplice ed utile guida sull'utilizzo del forum...
in pochi minuti utilizzerai fidocadj, gli schemi saranno molto ben visibili e fruibili da te a dagli interlocutori della discussione che potranno apportare velocemente-comodamente eventuali migliorie allo schema e/o disegno.
basta poco.
vediamo.
Avatar utente
Foto Utentemir
66,0k 9 12 13
G.Master EY
G.Master EY
 
Messaggi: 21870
Iscritto il: 19 ago 2004, 21:10

0
voti

[30] Re: Collegamenti cronotermostato e relè

Messaggioda Foto Utentegabronzio » 2 feb 2014, 20:10

abusivo ha scritto:
gabronzio ha scritto:...cosi è perfetto quindi?...

Hai capito bene, bel lavoro!
Spero di esserti stato utile!

Grazie mille sei stato gentilissimo e utilissimo.
Avatar utente
Foto Utentegabronzio
28 4
New entry
New entry
 
Messaggi: 88
Iscritto il: 9 mag 2013, 20:59

PrecedenteProssimo

Torna a Elettronica generale

Chi c’è in linea

Visitano il forum: Nessuno e 152 ospiti