Indice |
Il problema
Nella progettazione di circuiti capita spesso che il valore di un resistore debba essere stabilito con una certa precisione, ma che questo valore non corrisponda ai resistori disponibili.
Questo succede ad es. con i resistori limitatori di corrente in serie a LED, o a quelli che determinano i tempi di un oscillatore con NE555 (argomenti molto seguiti nel Forum di ElectroPortal).
Per non ricorrere a dispendiosi "trimmer" di tipo multigiro (perché siano di precisione), può essere presa in considerazione l'alternativa di mettere in parallelo due resistori, con valori tali da ottenere la massima approssimazione alla resistenza voluta.
Il parallelo
Il valore equivalente di resistenza (Rp) di 2 resistori (R1 ed R2) messi in parallelo, è dato da:
Quindi, se R è il valore di resistenza voluto, la combinazione di R1 ed R2 deve essere tale che Rp sia il più possibile vicino ad R.
Una possibile procedura è quella di fissare prima R1 (di valore ovviamente >R) e poi calcolare
Con i valori "veri" (cioè misurati con tester) delle resistenze scelte, di può poi calcolare lo scostamento percentuale dal valore desiderato con
(dove Rp è il valore ricavato mettendo i dati misurati nella formula iniziale).
Un esempio:
supponiamo che sia R=60 Ohm e che disponiamo di R1(misurata)=70 Ohm.
Applicando la formula citata si ha: R2=490 Ohm
Supponendo di avere in realtà a disposizione una R2(misurata)=480 Okm,
si ricava: Rp= 61.09
e lo scostamento Δ%=1.82
Valori normalizzati
In effetti la serie di valori dei resistori commercialmente disponibili segue criteri rigidamente fissati. Per un approfondimento di tali criteri, è utile la consultazione di Wikipedia.
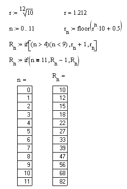
In sostanza per la serie più comune (E12) vengono stabiliti 12 valori per decade (quindi con una base
,
che viene elevata ad n, da 0 ad 11, per stabilire i singoli valori nominali, previo opportuno arrotondamento).
Ecco un'implementazione in MathCad per ottenere la serie base dei valori normalizzati:
Questi valori, moltiplicati per 10,100,1000 danno poi luogo alla serie completa di resistori standard (per valori maggiori basta considerare gli stessi posponendo K).
Scelta delle combinazioni
Nella procedura illustrata, si è detto di fissare prima R1, ma è chiaro questa libertà condiziona il risultato, e non si è certi che la scelta sia la migliore possibile.
In realtà la standardizzazione dei valori disponibili riduce drasticamente le combinazioni possibili, in quanto la scelta di R1 coinvolge solo i valori compresi fra R e 2R (oltre 2R infatti si avrebbe la simmetria di R2 con R1).
Un programma con calcolatore, per es. in Excel, può inoltre facilitare la scelta: ecco una possibile implementazione:
Il programma è semplicissimo. A parte una tabella di valori standard per facilitare la scelta, si introduce il valore desiderato (R, evidenziato in rosso).
E' ovvio che se tale valore coincide con uno dei valori normalizzati, non c'è bisogno di parallelo, ma è anche bene verificare se corrisponde alla metà di uno dei valori normalizzati: ciò condurrebbe immediatamente a R1=R2=2R
Negli altri casi, l'uso del programma richiede di scrivere i valori normalizzati (fra R e 2R) nelle caselle B8...B11.
Ciò porta al calcolo automatico dei corrispondenti valori di R2, a cui occorre far corrispondere i più vicini valori normalizzati (caselle F8...F11) per ricavare i risultati corrispondenti al parallelo.
Vien anche calcolata, per comodità, la differenza percentuale con il valore desiderato R, il che permette di individuare immediatamente la miglior combinazione da scegliere.
E' però infine raccomandabile una verifica mediante misura diretta dei valori di R1 ed R2 (date le tolleranze sui valori standard), utilizzando una qualsiasi riga dello stesso programma.
Si ribadisce che tutto ciò ha un senso solo nella realizzazione artigianale di circuiti, dove spesso non si ha ha disposizione una gamma più estesa di valori (cioè serie di resistori a più ristretta tolleranza), e non è certo applicabile a produzioni industriali.

Elettrotecnica e non solo (admin)
Un gatto tra gli elettroni (IsidoroKZ)
Esperienza e simulazioni (g.schgor)
Moleskine di un idraulico (RenzoDF)
Il Blog di ElectroYou (webmaster)
Idee microcontrollate (TardoFreak)
PICcoli grandi PICMicro (Paolino)
Il blog elettrico di carloc (carloc)
DirtEYblooog (dirtydeeds)
Di tutto... un po' (jordan20)
AK47 (lillo)
Esperienze elettroniche (marco438)
Telecomunicazioni musicali (clavicordo)
Automazione ed Elettronica (gustavo)
Direttive per la sicurezza (ErnestoCappelletti)
EYnfo dall'Alaska (mir)
Apriamo il quadro! (attilio)
H7-25 (asdf)
Passione Elettrica (massimob)
Elettroni a spasso (guidob)
Bloguerra (guerra)