Le attuali possiibilità grafiche di ElectroYou permettono di ampliare un argomento già affrontato all'inizio di quest'anno nel Forum (vedi), che poneva a confronto funzione di trasferimento e risposta in frequenza.
La funzione H(s) di Laplace
La Funzione di Trasferimento (FdT) di un blocco espressa in termini s di Laplace è definita come il rapporto delle funzioni, sempre espresse in s, del segnale d'uscita rispetto a quello di ingresso.
La variabile s è complessa, cioè costituita da una parte reale, σ, e da una parte immaginaria, ω,
per cui :
Vediamo di chiarire questa definizione.
Supponiamo di avere un blocco che modifichi il segnale al suo ingresso con relazioni integro-differenziali (cioè esprimibili con integrali e derivate) e di applicare il metodo di Laplace di sostituzione dei simboli di derivazione con s e di integrazione con 1/s, a queste relazioni. Otterremo un'espressione in s che rappresenta la "trasformata di Laplace" del blocco.
Ovviamente, moltiplicando questa espressione per la trasformata del segnale d'ingresso, otterremo la trasformata del segnale di uscita, da cui potremo ricavare l'andamento di quest'ultimo nel tempo semplicemente mediante antitrasformazione. (trasformazione ed antitrasformazione non sono altro che consultazioni di tabelle preconfezionate di espressioni corrispondenti, da una parte nel tempo t, dall'altra in s. Vedi ad es. la Tabella 1 di questo articolo).
Un esempio elementare:
Supponiamo che il blocco sia costituito da una semplice "costante di tempo" T e che il segnale d'ingresso e sia una tensione che varia "a gradino" fra 0 e V. Si avrà allora:
di conseguenza il segnale d'uscita u sarà
la cui antitrasformazione dà
cioè il classico andamento esponenziale tendente a V.
Altri più significativi esempi sono trattati qui, ma non è detto che sia sempre possibile trovare un'antitrasformazione che risolva il particolare problema.
In ogni caso, senza il ricorso ad un calcolatore con adatti programmi matematici, la conversione del risultato in termini trasformabili è un'operazione estenuante!
Le trasformazioni di Fourier
Ancor prima di Laplace, Fourier aveva dimostrato che una qualsiasi funzione nel tempo, purchè periodica (cioè che si ripete identicamente a regolari intervalli di tempo) può essere trasformata in una serie di sinusoidi: a frequenze multiple di quella del segnale corrisponono infatti sinusoidi di data ampiezza e fase. Si ottiene così il cosiddetto spettro di frequenza del segnale
Ora nel nostro blocco può essere analizzato il comportamento ad ogni singola frequenza: la derivazione e l'integrazione possono infatti far variare ampiezza e fase di un segnale sinusoidale , ma non influiscono sulla sua frequenza. Il comportamento del blocco alle singole frequenze è quindi chiamato risposta in frequenza del blocco stesso.
Questo ci consente di prevedere quale sarà lo spettro del segnale in uscita moltiplicando semplicemente, per ciascuna frequenza, il termine corrispondente dello spettro del segnale d'ingresso per il termine della risposta del blocco. Ovviamente, una volta noto le spettro del segnale d'uscita, è facile ricostruirne l'andamento nel tempo (trasformazione inversa di Fourier).
Vediamone un'applicazione pratica. Con Mathcad è facile ricavare lo spettro di un segnale, mediante l'applicazione della FFT (Fast Fourier Transform) che, analizzando una serie di dati temporali del segnale, calcola il valore (complesso) di ogni frequenza che lo compone.
Creato il segnale y(t) (un impulso di 10V fra 5ms e 15ms), viene ricavato lo spettro Y.
Il blocco a cui è applicato è una semplice costante di tempo, con una risposta in frequenza definita da H.
Non resta quindi che moltiplicare tra loro i termini Y ed H relativi alla stessa pulsazione ω per ottenere lo spettro del segnale d'uscita U. Da questo, mediante antitrasformazione di Fourier (IFFT), si ottiene l'andamento del segnale d'uscita u(t).
I diagrammi di Bode
Abbiamo dunque visto che invece di usare la funzione di trasferimento in s, è possibile considerare la risposta in frequenza e questo infatti è il modo più comune di procedere nello studio dei comportamenti dei sistemi costituiti da uno o più blocchi, soprattutto nei sistemi dedicati alla regolazione automatica.
Grossi vantaggi pratici si hanno poi rappresentando la risposta nei noti diagrammi di Bode (di ampiezza e di fase). La peculiarità consiste nell'adottare scale logaritmiche che consentono facile tracciabilità e composizione dei grafici. L'asse delle ascisse riporta le pulsazioni ω (in rad/s) o direttamente le frequenze (in hertz, Hz), mentre in ordinata sono riportati i valori di ampiezza (in decibel, dB) o rispettivamente i valori di fase (in gradi).
Per una maggior comprensione concettuale delle differenze fra i metodi di Laplace e di Fourier, si riporta quanto già esposto nel Forum, come detto all'inizio, dando rappresentazioni grafiche che rendano chiaro che quello di Fourier non è che un caso particolare del metodo di Laplace.
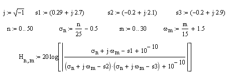
Con MathCad si è impostata una H(s) che contiene 3 punti di discontinuità, s1 che manda a 0 la funzione ed s2, s3 che la fanno andare all’infinito. Si è quindi calcolato il modulo (in dB) della funzione per la sua rappresentazione. Tutto il programma MathCad è questo:
L'andamento dei valori della H(s), può essere rappresentato in un diagramma a curve di livello nel piano s, con gli assi reale (σ) ed immaginario (jω) :
ma ancora meglio può essere rappresentata in forma tridimensionale:
Si vede che il "piano di Bode" taglia verticalmente il grafico di H(s) in corrispondenza dell'asse immaginario jω e che questa intersezione genera il grafico della risposta in frequenza, cioè il diagramma di Bode, del nostro blocco. Questa è la ragione per cui in pratica si sostituisce jω ad s nell'espressione di H(s) ottenendo la H(jω).
Come si diceva, il diagramma di Bode dell'ampiezza, è molto significativo nello studio della stabilità dei sistemi reazionati. Un approfondimento può essere fatto consultando il cap.21 di questo Corso (fig 21.4) o utilizzando i programmi di simulazione (in VisualBasic3) del mio sito (Elettronica Analogica/ Progettazione della regolazione automatica).
Con quest'ultimo possono infatti essere gestiti automaticamente i diagrammi di Bode relativi sia al sistema regolato (traccia azzurra) che al regolatore (traccia viola) nonchè la loro composizione (traccia gialla), come nell'esempio qui sotto:

Elettrotecnica e non solo (admin)
Un gatto tra gli elettroni (IsidoroKZ)
Esperienza e simulazioni (g.schgor)
Moleskine di un idraulico (RenzoDF)
Il Blog di ElectroYou (webmaster)
Idee microcontrollate (TardoFreak)
PICcoli grandi PICMicro (Paolino)
Il blog elettrico di carloc (carloc)
DirtEYblooog (dirtydeeds)
Di tutto... un po' (jordan20)
AK47 (lillo)
Esperienze elettroniche (marco438)
Telecomunicazioni musicali (clavicordo)
Automazione ed Elettronica (gustavo)
Direttive per la sicurezza (ErnestoCappelletti)
EYnfo dall'Alaska (mir)
Apriamo il quadro! (attilio)
H7-25 (asdf)
Passione Elettrica (massimob)
Elettroni a spasso (guidob)
Bloguerra (guerra)