A completamento delle applicazioni delle differenze finite al calcolo di figure geometriche (vedi [1],[2]), esaminiamo la determinazione dei volumi.
Essenzialmente vengono considerati volumi generati dalla rotazione di una linea piana attorno ad un asse.
e volumi delimitati da funzioni algebriche (del tipo z=f(x,y)).
Volumi di solidi di rotazione.
Come esempio di solido generato dalla rotazione di una linea attorno ad un asse possiamo assumere un paraboloide ricavato dalla rotazione attorno all'asse z della parabola z = 1 − x2, fra il vertice nel punto (0,0,1) e cerchio unitario sul piano xy (z=0).
Il metodo "classico" di soluzione prevede una doppia integrazione in y ed x della funzione
z = 1 − (x2 + y2), tenendo conto della dipendenza fra y e x. Il concetto è evidente da questa figura:
Si integrano infatti parallelepipedi infinitesimi (di base
e di altezza
) tra il piano xy e la superficie del paraboloide. (la figura e l'integrazione sono fatti su 1/4 del solido, quindi il risultato va moltiplicato per 4)
Un'alternativa è l'applicazione della regola di Guldino per i volumi: il volume di un solido di rotazione è dato dall'area racchiusa fra la curva generatrice e l'asse di rotazione, moltiplicata per il percorso di rotazione fatto dal baricentro dell'area stessa.
L'area delimitata dalla parabola e dagli assi z e x è notoriamente uguale ai 2/3 del'area Z.X (e del resto facilmente ricavabile come
). Qui, con Z ed X =1, risulta area A=2/3.
Quest'area ha il baricentro (B) distante η dall'asse di rotazione z, che si calcola come rapporto fra l'integrale del momento elementare rispetto all'integrale dell'area elementare.
Ecco a comnfronto in Mathcad Express i due procedimento ora visti:
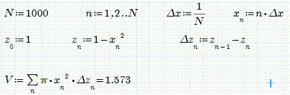
Vediamo ora come la procedura si semplifica applicando il metodo delle differenza finite.
Poiché ogni solido di rotazione ha un cerchio come sezione perpendicolare all'asse, il volume è facilmente ricavabile sommando i "dischi" elementari di raggio x e di "spessore" Δz.
Ecco quindi, sempre in Mathcad Express, il procedimanto:
Come si vede, l'errore con N=1000 è poco più dell'1/1000. Con N=10000 il calcolo risulta "esatto" alla terza cifra decimale.
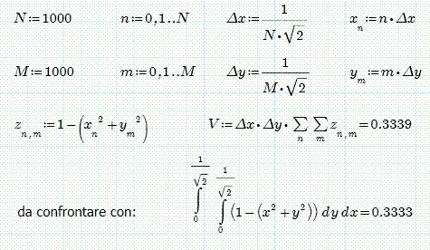
Volumi di solidi algebrici
Quando il solido è delimitato da una base rettangolare sul piano xy e superiormente da una superficie algebrica (del tipo z = f(x,y)), il procedimento di calcolo del volume con il metodo delle differenze finite è altrettanto semplice.
Consideriamo lo stesso paraboloide precedente, ma limitandolo ad una base, in questo caso quadrata, di lato da
a
Ecco la procedura di calcolo in Mathcad Express, con le differenze finite, confrontata con l'integrazione. Data la sua semplicità, credo superflua ogni spiegazione.
Questo metodo è applicabile oltre che alle forme algebriche, anche a calcoli con dati raccolti da misurazioni dirette. Al posto infatti della funzione matematica possono essere utilizzate metrici di dati rilevati, il che evidentemente non ha equivalenti nella matematica classica.
Applicazioni
Il calcolo di volumi "insoliti" non è un puro esercizio matematico. Si pensi all'importanza della valutazione della cubatura di uno sterramento o quella della riserva idrica di un bacino naturale, in base ai soli dati orografici. Ma è nell'automazione degli impianti che si incontrano spesso problemi difficilmente risolvibili con i metodi di calcolo tradizionali.
Un esempio è la valutazione della quantità di liquido contenuto in un serbatoio in base alla misura di livello o di pressione.
Anche se la forma è regolare, supponiamo cilindrica, ma ad es. messa in orizzontale, il calcolo non risulta così immediato (se poi è inclinato,le complicazioni aumentano).
Altro esempio è la motorizzazione di una siviera (contenitore di metalli fusi), che deve essere fatto girare
lentamente e senza scosse per versarne regolarmente il contenuto (si pensi ad una enorme "caffettiera" ma con tonnellate di metallo incandescente). La difficoltà sta nel fatto che a secondo del riempimento, il baricentro può spostarsi in modo da invertire addirittura il segno del momento resistente, che va quindi previsto in anticipo con un modello matematico.
Non è quindi solo per evitare di affrontare complicati integrali ma, ripeto, spesso le differenze finite sono l'unico mezzo per risolvere i problemi pratici.

Elettrotecnica e non solo (admin)
Un gatto tra gli elettroni (IsidoroKZ)
Esperienza e simulazioni (g.schgor)
Moleskine di un idraulico (RenzoDF)
Il Blog di ElectroYou (webmaster)
Idee microcontrollate (TardoFreak)
PICcoli grandi PICMicro (Paolino)
Il blog elettrico di carloc (carloc)
DirtEYblooog (dirtydeeds)
Di tutto... un po' (jordan20)
AK47 (lillo)
Esperienze elettroniche (marco438)
Telecomunicazioni musicali (clavicordo)
Automazione ed Elettronica (gustavo)
Direttive per la sicurezza (ErnestoCappelletti)
EYnfo dall'Alaska (mir)
Apriamo il quadro! (attilio)
H7-25 (asdf)
Passione Elettrica (massimob)
Elettroni a spasso (guidob)
Bloguerra (guerra)


