Indice |
Premessa
L’intento di questo EYBignami è divulgativo: vuole offrire una panoramica sulle telecomunicazioni senza entrare nei dettagli ma presentando una sintesi dei principali concetti e formule usati nella tecnica delle telecomunicazioni. I contenuti sono estratti dal libro on line “Trasmissione dei Segnali e Sistemi di Telecomunicazione” di Alessandro Falaschi, docente presso l’Università La Sapienza di Roma, che ne ha gentilmente autorizzato l’uso, disponibile integralmente per il download gratuito su http://www.teoriadeisegnali.it e che potrà essere usato per gli approfondimenti. Il prof. Falaschi infatti mette a disposizione il suo libro nel preciso intento di far circolare l'informazione anziché sottrarla al pubblico mettendola in vendita.
Considerata la vastità dell’argomento e volendo evitare una pura raccolta di formule, ho approfittato del capitolo intitolato "Una visione di insieme" copiandolo direttamente e inserendo poi commenti e pezzi dei capitoli successivi L’attenzione cercherà comunque di concentrarsi sugli aspetti concettuali più che su quelli matematici (visibili direttamente nel libro a chi è interessato) chiedendo scusa in anticipo a coloro che li troveranno esposti in modo troppo elementare. Peraltro, a causa della loro complessità, alcuni argomenti verranno solo accennati.
Introduzione
Il libro è impostato sulla grande divisione tra SEGNALI e SISTEMI considerati come le principali categorie delle telecomunicazioni (comunicazioni “a distanza”).
Lo scopo delle telecomunicazioni è trasmettere/ricevere messaggi da una Sorgente (di messaggi) a una Destinazione in modo efficace (riconoscibilità in ricezione) ed efficiente (economicità). Occorre però tenere presente un fatto fondamentale: il contenuto informativo dei messaggi è cosa diversa dal loro supporto energetico. I messaggi sono entità che si muovono nello spazio e per farlo hanno bisogno di supporti energetici, che sono detti "segnali". Che siano, luminosi, acustici, tattili, elettrici i segnali implicano sempre variazioni di energia. Senza energia non c'è comunicazione. La comunicazione di cui ci occupiamo qui riguarda solo il trattamento migliore possibile dei segnali, sia per renderli adatti alla natura dei messaggi che devono trasportare, sia per consentirne il viaggio attraverso lo spazio e farli riconoscere al destinatario. Per contro, ci disinteressiamo completamente del contenuto informativo (significato) dei messaggi.
Il modello sottostante di Fig, 1.1 è quindi un modello di comunicazione fisica, che riguarda riguarda solo i segnali.
Quando la comunicazione è bidirezionale, come nella telefonia e nell’informatica, il modello va semplicemente raddoppiato e invertito: la Destinazione (o meglio il Destinatario) diventa anche Sorgente e la Sorgente iniziale diventa anche Destinazione.
In generale:
- I SEGNALI sono variazioni di energia (elettromagnetica o acustica) che si propaga nello spazio, a cui "a monte" viene
attribuito un significato finalizzato a trasportare informazione ma che, come si diceva, la tecnica delle telecomunicazioni non tiene in considerazione. Il concetto di “variazione” è fondamentale: senza variazione non c’è informazione, né statica, né tantomeno in movimento..
- I SISTEMI sono apparati fisici che generano i segnali e consentono loro di trasportare messaggi da una sorgente a un destinatario.
Di seguito ho riportato una parte della "visione d'insieme" del libro, per poi focalizzarsi sulla rappresentazione dei segnali analogici.
SEGNALI
Concentriamoci ora sulla descrizione nei domini del tempo e della frequenza
È opportuno tenere presente che i segnali subiscono varie trasformazioni durante il processo di telecomunicazione. Spesso (ormai quasi sempre) accade che un segnale generato da una Sorgente venga "trasportato" da un altro segnale che è più adatto al particolare canale usato. Questo si ottiene tramite il procedimento conosciuto come "modulazione" di un segnale (portante) da parte di un altro segnale (modulante). Quest'ultimo è tipicamente un segnale emesso dalla sorgente, ed è quindi il segnale che trasporta un contenuto informativo, un messaggio. Il segnale detto portante non trasporta informazione. Il segnale modulante può essere:
- analogico: rappresentato da una funzione temporale continua
- numerico: rappresentato da una funzione temporale discontinua a due o più livelli ma in numero finito.
Descrizione dei segnali
La descrizione dei segnali utile per i calcoli è solo quella matematica: un segnale elettrico viene rappresentato come tensione, corrente, energia, potenza, espresse in funzione del tempo. Per un segnale acustico siusano spesso la pressione sonora o l’intensità sonora.
L’elemento “tempo” è essenziale per i segnali. Anche quandoi segnali sono variazioni energetiche nello spazio, come avviene nelle immagini, per la trasmissione ci si riconduce sempre a variazioni nel tempo.
La rappresentazione dei segnali nel tempo, però, non è la più comoda quando si vuole dimensionare la trasmissione e stabilire il comportamento dei segnali.
Poiché l’energia si propaga per onde, ossia per oscillazioni dell'energia stessa, viene comodo rappresentarla a partire dai parametri più semplici delle onde e cioè ampiezza e frequenza. Ma questo si applica immediatamente e facilmente solo al caso dell’oscillazione più semplice, quella sinusoidale.
Mi sembra opportuno fare un'ulteriore precisazione, che mi è stimolata dalla domanda nel Forum Telecomunicazioni posta da uno studente di ingegneria elettronica in merito al significato fisico di certe descrizioni matematiche, che ha ricevuto una risposta molto ben formulata. La precisazione è la seguente: la rappresentazione e descrizione matematica dei segnali riguarda solo la loro forma e non il loro significato fisico, ossia energetico. Ne segue che per usare le formule che la teoria ci fornisce occorre sempre associarle con le unità di misura appropriate. Ad esempio, spesso diciamo, frettolosamente, che la potenza associata a una tensione di forma A.sin(ωt) è = A2; ma questo è chiaramente sbagliato se non si tiene presente che si sottintende che la suddetta potenza è quella disponibile su un carico resistivo da 1 Ω. In questo senso, anche l'uso dei numeri complessi può confondere se non si tiene presente che modulo e fase vanno esaminati con cura per capire come viene descritta l'energia: un esempio è la distinzione tra Potenza apparente, reattiva e attiva.
SEGNALI ANALOGICI
Cominceremo a illustrare gli strumenti che servono per l'analisi dei segnai analogici. Ricordiamoci che sui canali fisici viaggiano SEMPRE segnali ANALOGICI, anche se trasportano segnali numerici (digitali).
Ripasso trigonometrico
Adesso, mi perdonino tutti, torniamo un po' indietro ripassando la funzione “seno” di ф, (sulla destra come funzione del tempo ponendo ф = ωt) :
Fig. 2 Funzione "seno"
Nella parte destra della Fig. 3 il punto A è un punto arbitrario di un lato dell’angolo α, perché il rapporto AK/VA si mantiene costante. Ciò consente di scegliere VA = 1 e di rappresentare il tutto su un piano cartesiano servendosi di un cerchio (di raggio 1) in cui è inscritto l’angolo α. Il rapporto VK/VA è il coseno di α. Si usano anche i numeri negativi, sia per gli angoli che per seno e coseno. Con questa convenzione l’angolo α è negativo quando è misurato in senso orario ed è positivo quando è misurato in senso antiorario, sempre a partire dall'asse x.
La funzione sinusoidale y = sin(ф) lega l’angolo ф con un numero definito tramite la trigonometria.
Fig.3 Seno di un angolo, definizione geometrica
Poiché il “grado” come unità di misura dell'angolo è scomodo in quanto incongruo con il Sistema Internazionale delle misure, si inscrive l'angolo in un cerchio e si costruisce il “radiante”, un numero che esprime il rapporto tra l’arco di cerchio sotteso dall’angolo e il raggio del cerchio (che viene posto = 1): sapendo che il rapporto tra l’arco di 360° (cioè la circonferenza) e il raggio vale 2п, con una semplice proporzione si ottiene il valore in radianti di qualsiasi angolo. Dunque 360 gradi = 2п radianti, 180 gradi = п radianti, etc. ; un radiante vale circa 57 gradi. Per la misura degli angoli il radiante sostituisce quindi il grado.
Ma noi vogliamo usare il tempo come variabile indipendente, perchè i segnali si svolgono nel tempo. Comesi passa dell’angolo al tempo? Semplice, tramite la “velocità angolare”, immaginando il raggio del cerchio che gira (in senso antiorario, per convenzione "positivo") a velocità angolare costante ω = α/t, quindi α = ωt che si misura in radianti/secondo. Ne consegue che si può scrivere e(t) = sin(ωt), mentre l’angolo ωt viene chiamato “fase” e indicato spesso anche con le lettere greche θ oppure φ.
La velocità angolare è = angolo percorso / tempo impiegato a percorrerlo. Nel tempo T l’angolo raggiunge 360 gradi e il seno va a 0 e ricomincia il suo ciclo oscillante, come se l’angolo ripartisse da 0, ossia diventa periodico e T viene detto “periodo”.
E se invece che in "radianti al secondo" voglio misurare la velocità angolare in "giri al secondo"? Basta ricordarsi che l’angolo di 360 gradi viene detto “angolo giro”; quindi quanti giri ci sono in T secondi? Esattamente 2п/T. Ne segue che la quantità 1/T esprime il numero di giri (o di oscillazioni) al secondo, ed è detta comunemente “frequenza” (f), misurata un "Hertz", dove 1 Hz = 1 oscillazione o giro al secondo.
Quindi la nostra variabile indipendente diventa il tempo, sia pure indirettamente, tramite la relazione α = ωt. Si può visualizzare il sin(ωt) guardando un ciclista che pedala: visto esattamente da dietro, ciascun pedale va su e giù con legge sinusoidale.
L’altro elemento che individua la sinusoide è l’ampiezza massima "A", che va a moltiplicare la funzione seno (che oscilla tra -1 e +1).
Trasformando l'angolo in prodotto della velocità angolare per il tempo abbiamo ottenuto una funzione sinusoidale del tempo (supponendo implicitamente che la velocità angolare rimanga costante, altrimenti la funzione seno è una funzione delle due variabili, ω e t) caratterizzata da due soli parametri: A e ω oppure A e f. A questi due parametri si aggiunge un terzo parametro che segna o la fase di partenza θ0 oppure la differenza tra due sinusoidi. Questa differenza di fase si traduce immediatamente in distanza temporale (anticipo o ritardo) di una sull’altra, naturalmente conoscendo la frequenza: se la frequenza delle due sinusoidi è la stessa, lo sfasamento si mantiene costante. Ad esempio, se due sinusoidi hanno frequenza di 400 Hz e sono sfasate di 30°, la distanza temporale tra le due è la dodicesima parte (30/360 oppure п/6) di un periodo (1/400 = 2,5 ms) = 0,208 ms.
Attenzione a non confondere la fase con lo sfasamento (che è una differenza tra due fasi). La fase aumenta nel tempo in modo continuo con velocità ω, ossia θ = ωt oppure θ = 2пft dato che ω = 2пf. Ad esempio, se al tempo 0 la fase vale 0 radianti e se la frequenza è 400 Hz, dopo 2 minuti la fase è (circa) = 2*3,14*400*2*60 = 301.440 radianti o (esattamente) 48.000 (angoli) giri o oscillazioni.
Usando questi tre parametri, ampiezza massima, frequenza e sfasamento (spesso ne bastano 2) possiamo rappresentare i segnali sinusoidali “nel dominio della frequenza”. Ciò semplifica notevolmente i progetti e i relativi calcoli.
Numeri complessi
Il modo più semplice per farlo è usare i numeri complessi! Sembra una contraddizione, ma è così. Infatti, un numero complesso contiene due informazioni, il modulo r e la fase θ, ottenuti dalla rappresentazione sul piano complesso (Reale - Immaginario). Dalla figura si vede come la parte immaginaria è r sin(θ) mentre la parte reale è r cos(θ). Associando il modulo r all’ampiezza max. A della sinusoide e la fase (del numero complesso) alla fase θ = wt della sinusoide temporale otteniamo un fasore, elemento ben noto agli elettrotecnici:
Dove è stata usata la
La formula di Eulero permette di rappresentare le sinusoidi con degli esponenziali. Questo, stranamente, semplifica i calcoli, perché i prodotti di esponenziali diventano somme (degli esponenti), una fonte di semplificazione che compensa abbondantemente la necessità di ricorrere ai numeri complessi. Un'altro aiuto viene dal considerare in numeri complessi come vettori, utilizzabili anche graficamente con le operazioni vettoriali conosciute. Ad esempio quella per cui la somma di due numeri complessi "coniugati" dà un numero reale, pari alla componente reale di entrambi.
Ora, gli elettrotecnici possono in generale accontentarsi dei soli fasori perché per lo più lavorano con la tensione di rete elettrica 230 V a 50 Hz, che è sinusoidale a frequenza costante (salvo poche eccezioni): il fasore quindi usa solo i due parametri ampiezza e sfasamento.
Spettro di frequenza
Ma nelle telecomunicazioni le frequenze sono tutt’altro che costanti! E, più ancora, i segnali sinusoidali sono l’eccezione e non la regola. Quindi servono rappresentazioni un po’ più elaborate per passare al dominio della frequenza.
Si comincia allora con segnali ancora periodici, ma di qualsiasi forma e frequenza di ripetizione F = 1/T
Fig. 4 Segnale periodico Un teorema di Fourier permette di rappresentare un segnale siffatto come somma infinita e pesata di fasori, ognuno di frequenza multipla intera di F.
La successione dei coefficienti Xn si chiama anche Spettro di frequenza.
In pratica, una funzione periodica di periodo T (sotto certe condizioni matematiche) è rappresentabile con una somma di infinite sinusoidi dette “armoniche”, che hanno ciscuna frequenza multipla intera della fondamentale 1/T. Per fortuna solo le prime sinusoidi danno un contributo significativo alla somma e, da una certa frequenza in poi, si possono trascurare, troncando la somma a pochi termini. Questo rende la serie di Fourier di grande utilità pratica.
I coefficienti di Fourier (detti nell'insieme "Serie di Fourier") si esprimono in modulo e fase e, dove non serve, solo in modulo, rappresentato con unariga sull’asse delle frequenze. Occorre tenere presente che con il metodo degli esponenziali si utilizzano frequenze “negative”, che si capiscono meglio se si pensa alla velocità angolare di due vettori rotanti in senso opposto. Rispetto alla serie di Fourier calcolata “tradizionalmente” (con frequenze solo positive) , i coefficienti Xn sono in numero doppio.
Per approfondimenti e spiegazioni "umane" di queste formule vi rimando al mio articolo https://www.electroyou.it/clavicordo/wiki/trasformate-e-vettori
in cui cerco di spiegare come una funzione possa essere rappresentata da un vettore riferito a una base ortonormale, che nel caso Fourier è costituito da funzioni ortogonali, quali sono appunto le funzioni sinusoidali.
Quando i segnali non sono più periodici, il dominio della frequenza si ottiene estendendo il concetto di serie di Fourier: se il periodo della funzione aumenta le righe dello spettro si infittiscono. Al limite, il periodo tende a infinito e la serie si infittisce al punto tale da diventare una funzione continua chiamata Trasformata di Fourier (TdF oF-trasformata)):
Al posto di una serie di coefficienti isolati (per quanto in numero infinito, la cosiddetta "infinità numerabile") ora abbiamo una funzione X(f), che ci dice quanto sarebbe l’ampiezza max di ciascuna sinusoide di frequenza f. Inoltre questa volta la x(t) ricostruita con l’operazione inversa (antitrasformata) non è più una somma di coefficienti Xn ma è un integrale di una funzione continua. Quindi la TdF ha l’aspetto di una “densità”:
Piccolo confronto tra Serie di Fourier e Trasformata di Fourier
Due Serie di Fourier
Una Trasformata di Fourier
Come si vede, le figure rappresentano sulla sinistra la funzioni del tempo e nella parte destra lo spettro di frequenza. Per le prime due funzioni, che sono periodiche, lo spettro è “a righe” : in ascissa ci sono i multipli (n) della frequenza fondamentale F = 1/T e in ordinata i valori delle ampiezze massime delle relative sinusoidi. Questi valori nel grafico sarebbero in realtà dei punti, perché la funzione è discontinua, ma non si vedrebbero, quindi si usa prolungare i punti con delle righe fino all'asse orizzontale. Lo spettro è calcolato (per comodità!) tramite numeri complessi, ma essendo lo spettro di un segnale "reale", diventa composto di numeri reali.
Inoltre, sempre per lo stesso motivo, vengono rappresentate le frequenze negative, che nella pratica non hanno senso, ma nei calcoli risultano comode. Il "vero" spettro sarà quindi la parte a destra dell’asse verticale.
La terza funzione, un impulso rettangolare isolato, non è periodica e quindi il suo spettro è una funzione continua della frequenza. Si noti come passando dalla prima alla terza funzione i punti (visualizzati con righe) delle funzioni “spettro di frequenza” si infittiscano fino a diventare un continuum, perché nella terza funzione temporale è come se il periodo diventasse infinito e di conseguenza la distanza tra le righe diventa = 0 e, se le si disegnassero, diventerebbero un riempimento dell'area sottesa dalla funzione.
Se nello spettro di frequenza di notano frequenze isolate che "spiccano" su tutte le altre, ossia che formano delle righe, significa che la funzione contiene delle periodicità, ossia parti che ri ripetono uguali a se stesse nel tempo.
Si noti la funzione sinc(x) = sin(x)/x che si ritroverà continuamente nello studio delle comunicazioni. Quando la x tende a = 0, questa funzione tende a 1.
Con la serie di Fourier e la TdF si passa dal dominio del tempo a quello della frequenza per segnali di qualsiasi forma, come sono poi i segnali delle comunicazioni multimediali, audio e video.
Nelle figure sopra si è mostrata solo la funzione “modulo” (ampiezze max delle sinusoidi componenti), ma in realtà serie di F. e TdF comprendono anche le rispettive funzioni “fase” (o "argomento").
In termini semplificatori, bisogna dire che la serie di F. è vero che è una somma di infinite sinusoidi con ampiezze ricavate dalla funzione periodica di partenza, ma queste sinusoidi non sono in generale tutte in fase tra loro: quindi lo spettro di frequenza è composto in realtà da due funzioni, il modulo e la fase. Ma qui torna in agguato la confusione tra fase e sfasamento: la fase del numero complesso di Fourier rappresentalo sfasamento della sinusoide componente (rispetto alla fase del segnale presa come riferimento, quella al tempo t=0)! Si eliminerebbe la confusione sesi dicesse che un numero complesso è fatto di “modulo” e di “argomento”. Ma quasi nessuno lo fa.
A un certo punto fu osservato che questa distinzione tra serie e trasformata di Fourier era un po’ scomoda e che sarebbe stato meglio disporre di un’unica trasformazione, la TdF, per passare dal dominio del tempo a quello della frequenza. Ecco che fu introdotto l’impulso matematico.
Una proprietà fondamentale:
Con il setacciamento si esprime in modo un po' contorto il valore della funzione in un determinato istante t, perchè la si esprime come valore dell'integrale definito della funzione moltiplicata per l'impulso.
Ma è come con i numeri complessi: con questo ausilio si possono semplificare e, soprattutto unificare, molte elaborazioni, come ad esempio la trasformata di Fourier di una funzione periodica espressa come serie di Fourier.
Per passare dal dominio del tempo a quello della frequenza e viceversa possiamo dunque disporre di un unico strumento, la Trasformata di Fourier.
L'introduzione dell’impulso matematico permette di unificare le rappresentazioni ma certamente rende tutto meno immediato, almeno in senso intuitivo, perché richiede sempre l’uso degli integrali. Infatti in sé l’impulso è infinito: solo la sua area è finita e vale 1. Ma sappiamoche l’area è regno degli integrali definiti….
Essendo l’impulso matematico simile a una funzione, esso può essere usa come funzione del tempo ma anche come funzione della frequenza.
Trasformata di Fourier di un treno di impulsi:
Fig. 5 TdF di un treno di impulsi
La Trasformata di Fourier di un treno di impulsi matematici di periodo T è asua volta un treno di impulsi di frequenza posti a “distanza” 1/T l'uno dall’altro. Se riconsideriamo il treno di impulsi rettangolari esaminati sopra, possiamo immaginare di farli diventare sempre più stretti (duty cycle sempre più piccolo) ma sempre più alti, in modo che la loro area rimanga costante e di valore 1. In tal modo anche le righe della serie di Fourier diventano sempre più alte e il loro inviluppo, che ha forma sin(x)/x, si allarga e si livella, per così dire, finché diventano tutte infinitamente alte uguali!
Risposta all'impulso
Un altro punto fondamentale per l’analisi dei sistemi (compresi quelli di telecomunicazione) è la risposta all’impulso:
Questo ci porta direttamente a:
La convoluzione è un'operazione composta, costituita da una somma di prodotti in cui uno dei due fattori di ogni prodotto contiene un parametro: si tratta quindi di una funzione di tale parametro. Tale somma diviene un integrale quando si ha a che fare con il prodotto di funzioni continue, come spesso avviene nelle telecomunicazioni, e se le funzioni sono temporali il parametro è un ritardo indicato con "τ". Il concetto di convoluzione è un concetto importantissimo perché, tra l'altro, unifica sistemi (lineari) e segnali. Un sistema viene caratterizzato come se fosse un segnale; questo viene fatto tramite la sua risposta all’impulso h(t). Dopodiché l’interazione tra sistemi e segnali diventa interazioni tra segnali.
Fig. 4 Isomorfismo tra gli spazi di un segnale nel tempo e nella frequenza
La "proprietà del prodotto" della TdF consente di sapere come si comporta un segnale che ha TdF = X(f) e che attraversa un sistema lineare (ad esempio un filtro) che ha TdF = Y(f). La TdF del segnale in uscita sarà proprio Z(f) = X(f) Y(f)
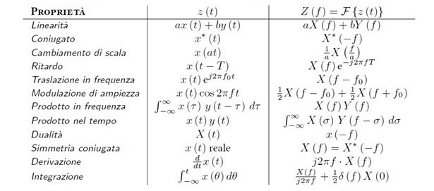
Le proprietà della TdF vengono sfruttate ampiamente nei calcoli perché, a dispetto della complicazione dovuta a numeri complessi, integrali e impulsi matematici, sono lineari e quindi "facilmente" manipolabili.
Una tra le più importanti proprietà per le telecomunicazioni è quella detta "Modulazione di ampiezza / traslazione di frequenza".
Fine della prima parte
Ne seguiranno altre!

Elettrotecnica e non solo (admin)
Un gatto tra gli elettroni (IsidoroKZ)
Esperienza e simulazioni (g.schgor)
Moleskine di un idraulico (RenzoDF)
Il Blog di ElectroYou (webmaster)
Idee microcontrollate (TardoFreak)
PICcoli grandi PICMicro (Paolino)
Il blog elettrico di carloc (carloc)
DirtEYblooog (dirtydeeds)
Di tutto... un po' (jordan20)
AK47 (lillo)
Esperienze elettroniche (marco438)
Telecomunicazioni musicali (clavicordo)
Automazione ed Elettronica (gustavo)
Direttive per la sicurezza (ErnestoCappelletti)
EYnfo dall'Alaska (mir)
Apriamo il quadro! (attilio)
H7-25 (asdf)
Passione Elettrica (massimob)
Elettroni a spasso (guidob)
Bloguerra (guerra)
bravo