Un recente argomento del Forum richiedeva l'applicazione di una matrice ad un quadripolo ed è stata consigliata la visione di questo link.
La richiesta non ha avuto più seguito ma il tema è interessante e ritengo valga la pena di approfondirlo,
aggiungendolo agli articoli su matrici e quadripoli ai quali si rimanda per la definizione dei concetti di base.
Indice |
Il problema
Essenzialmente si tratta di definire una matrice che rappresenti il comportamento di un dato quadripolo in modo che dati due dei quattro parametri (rispettivamente tensione E1 e corrente I1 d'ingresso e rispettivamente E2 e I2 d'uscita), si possano calcolare gli altri due.
Nel link citato all'inizio vengono ben spiegati i vari casi possibili a cui corrispondono matrici diverse, ma non vengono dati esempi applicativi. Per facilitare la comprensione del metodo, viene qui adottato un semplicissimo quadripolo, formato da due sole resistenze, che facilita il calcolo dei vari coefficienti delle matrici.
Il quadripolo considerato è questo (evidenziato dal rettangolo rosso):
Come si vede, la struttura del quadripolo determina univocamente i rapporti fra tensioni e correnti
applicate all'ingresso e all'uscita. Il metodo delle matrici consente di stabilire tali rapporti partendo dai valori misurati o calcolati (oppure simulati), applicando singolarmente un solo generatore alla volta.
Poiché nel link indicato non è spiegato chiaramente il significato dei simboli usati, si preferisce adottare una simbologia che indichi da che parte sta il relativo generatore. Ciascun valore è quindi individuato da un codice a 3 caratteri, dove il primo rappresenta corrente (i) o tensione (e), il secondo la posizione del generatore attivo (1 all'ingresso e 2 all'uscita, convenzionalmente parte sinistra e destra del quadripolo) ed il terzo carattere la posizione di misura , anche qui 1 per i morsetti d'ingresso e 2 per quelli di uscita. Ad es. e12 è la tensione di uscita dovuta al generatore applicato all'ingresso, i21 è la corrente all'ingresso dovuta al generatore sull'uscita.
Si precisa inoltre che se il generatore attivo è di tensione, i morsetti opposti devono essere chiusi in cortocircuito, viceversa se il generatore attivo è di corrente, i morsetti opposti devono essere aperti.
La matrice Y
Come primo esempio di applicazione consideriamo il caso più frequente di quadripolo alimentato da due generatori di tensione, rispettivamente E1 ed E2. La incognite sono quindi I1 ed I2.
Consideriamo prima l'influenza del solo E1 applicato all'ingresso:
I valori in rosso sono quelli che servono per la matrice. Unica osservazione il segno - di i12 è dovuto alla convenzione delle correnti positive se entranti nel quadripolo.
Poi consideriamo il solo generatore E2 applicato all'uscita:
Ora abbiamo tutti gli elementi che servono per creare la matrice detta Y perché i suoi termini sono tutte ammettenze Ovviamente questo nel caso generale di matrici complesse,cioè con elementi reattivi, mentre nel nostro caso si riducono a conduttanze.
Con un programma matematico che risolva il prodotto di matrici i risultati sono immediati (I1=0.2A, I2=0.4A).
Possiamo dare alla struttura matriciale un preciso significato "fisico", osservando che la struttura

corrisponde al sistema

cioè ciascuna corrente è la somma del contributo dato da E1 e quello di E2 e possiamo interpretarlo con il circuito equivalente:
(Nota: il verso delle correnti dei generatori sono quelli convenzionali. Con valori negativi delle correnti, in realtà si sommano a quelle d'ingresso per alimentare le resistenze in parallelo)
Considerando l'azione separata dei generatori è anche:

da cui possiamo ricavare i termini della matrice utilizzata precedentemente
La matrice Z
Analogamente a quanto visto, è possibile creare una matrice Z (con sole impedenze) nel caso i generatori siano di corrente, cioè I1 e I2. Ovviamente incognite sono E1 ed E2.
Ecco il calcolo col solo I1:
ed ecco quello cn il solo I2:
Ricavati i coefficienti si costruisce la matrice:

da cui è possibile ricavare i termini della matrice Z come rapporti dei valori determinati con le alimentazioni singole. Si ha infatti:

con


La matrice H
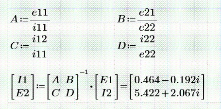
Vediamo ora il caso di generatori di tipo diverso fra ingresso ed uscita del quadripolo. Precisamente un generatore di tensione all'ingresso e uno di corrente all'uscita (che era la richiesta originale al Forum, citata all'inizio). Poi consideriamo un quadripolo con elementi reattivi, quindi una matrice con numeri complessi.
Poiché gli elementi della matrice non hanno tutti la stessa unità di misura, li chiameremo con singole lettere :
.
Per calcolare le incognite I1 ed E2, si tratta infatti di risolvere il sistema:

cioè con le matrici:

Per il calcolo dei singoli elementi di H dovremo applicare separatamente, come visto in precedenza, i singoli alimentatori. Ecco come:
A questo punto è utile usare un programma matematico (ad es. Mathcad Express, citato all'inizio), che consente di eseguire i calcoli direttamente con numeri complessi.
Possiamo ora ricavare i termini della matrice e procedere alla soluzione:
I valori di I1 ed E2 così ricavati coincidono con quelli della simulazione diretta (con MicroCap)
Conclusioni
Sono state illustrate le principali matrici che definiscono il comportamento di un quadripolo alimentato da due sorgenti. Per non appesantire troppo l'articolo non sono state riportate le simulazioni dei circuiti equivalenti alle matrici stesse, che comunque restano a disposizione di chi volesse approfondire l'argomento.
Scopo non secondario dell'articolo è stato quello di mostrare l'applicazione dei mezzi di calcolo e simulazione oggi disponibili (e gratuiti). Mezzi sempre più indispensabili ai progettisti di apparati elettronici.

Elettrotecnica e non solo (admin)
Un gatto tra gli elettroni (IsidoroKZ)
Esperienza e simulazioni (g.schgor)
Moleskine di un idraulico (RenzoDF)
Il Blog di ElectroYou (webmaster)
Idee microcontrollate (TardoFreak)
PICcoli grandi PICMicro (Paolino)
Il blog elettrico di carloc (carloc)
DirtEYblooog (dirtydeeds)
Di tutto... un po' (jordan20)
AK47 (lillo)
Esperienze elettroniche (marco438)
Telecomunicazioni musicali (clavicordo)
Automazione ed Elettronica (gustavo)
Direttive per la sicurezza (ErnestoCappelletti)
EYnfo dall'Alaska (mir)
Apriamo il quadro! (attilio)
H7-25 (asdf)
Passione Elettrica (massimob)
Elettroni a spasso (guidob)
Bloguerra (guerra)








