Dato un sistema di alimentazione monofase si vuole analizzare lo scambio energetico del cavo in relazione alla durata del corto-circuito e la temperatura propria nel volume del sistema. Si consideri quanto avviene nell’intervallo di tempo infinitesimo dt in un conduttore di lunghezza l e di sezione S in cui fluisce la corrente i .
Dove PC è la potenza ceduta espressa come energia termica prodotta per effetto joule, dissipata dalla corrente nell’infinitesimo di tempo dt.
C è inteso come calore specifico per unità di volume, V è il prodotto di S per l volume del sistema, dƟ è la variazione di temperatura nel tempo infinitesimo. Il corretto dimensionamento dell’impianto comporta che in fase di corto circuito il tempo di intervento nel dispositivo sia di breve durata, tale da ricondurlo alla durata di tempo infinitesimo dt.
Hp: per quanto affermato in precedenza si determina che le relazioni 1.0 e 2.0 abbiano un’energia termica equivalente, con scambio di calore nullo (fenomeno adiabatico).
Hp: per semplificazione si considerino costanti la lunghezza e la sezione del conduttore e si abbia già invariabile il valore di c specifico per ogni materiale. Occorre inoltre raggruppare gli elementi influenzati dalla temperatura, trasportando dal primo al secondo membro i valore ρ.
Avendo un’equazione differenziale di primo grado a variabili separabili si risolve integrando entrambi i membri dell’equazione 3.1
Il primo membro noto come Integrale di Joule esprime l’energia specifica passante che transita nell’apparecchio di manovra e protezione (nell’integrale definito da zero a ti che è il tempo di interruzione del dispositivo di i2 in dt). Il secondo membro esprime l’energia massima tollerata dal cavo (nell’integrale definito da Ɵ0 temperatura iniziale del cavo a Ɵf temperatura finale del cavo, del quoziente tra c per S2 e ρ in dƟ). Ci si sofferma sull’analisi del secondo membro.
Per la proprietà di linearità dell’integrale i fattori costanti vengono trasportati esternamente dall’operatore matematico.
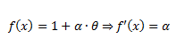
Il termine ρ che indica la resistività termica del materiale è esprimibile con la relazione:
Sostituendo la 3.2.4 nella 3.2.3 si ha la nuova formula:
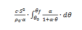
Sempre per la proprietà di linearità dell’integrale ρ0 viene trasportato fuori dall’integrale
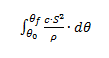
La funzione integranda ammette integrazione immediata essendo riconducibile ad una funzione razionale fratta in cui il numeratore è la derivata del denominatore.
Non comparendo al numeratore la derivata prima è possibile farla comparire tramite espediente matematico.
Si ricava la
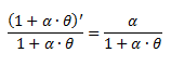
È possibile ora svolgere l’integrazione immediata.
Infatti la derivata di
essendo una funzione composta è
Si è trovata una primitiva della funzione integranda, ora l’integrale definito si calcola facendo la differenza tra i valori che questa primitiva assume negli estremi dell’integrale.
Applicando la proprietà del logaritmo
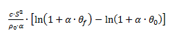
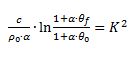
Si ottiene infine:
Si impone convenzionalmente:
Da cui la 3.2.83 diventa:
Riprendendo la 3.2 si ottiene:
È dimostrata matematicamente l’equivalenza dell’Integrale di Joule. In ambito impiantistico tale formula viene semplificata ulteriormente e applicata per il calcolo di verifica della protezione del cavo dal corto circuito con la seguente relazione finale in cui il primo membro deve avere un valore energetico sempre inferiore del secondo:

Elettrotecnica e non solo (admin)
Un gatto tra gli elettroni (IsidoroKZ)
Esperienza e simulazioni (g.schgor)
Moleskine di un idraulico (RenzoDF)
Il Blog di ElectroYou (webmaster)
Idee microcontrollate (TardoFreak)
PICcoli grandi PICMicro (Paolino)
Il blog elettrico di carloc (carloc)
DirtEYblooog (dirtydeeds)
Di tutto... un po' (jordan20)
AK47 (lillo)
Esperienze elettroniche (marco438)
Telecomunicazioni musicali (clavicordo)
Automazione ed Elettronica (gustavo)
Direttive per la sicurezza (ErnestoCappelletti)
EYnfo dall'Alaska (mir)
Apriamo il quadro! (attilio)
H7-25 (asdf)
Passione Elettrica (massimob)
Elettroni a spasso (guidob)
Bloguerra (guerra)