Indice |
Introduzione
Qualsiasi macchina elettrica durante il proprio funzionamento si riscalda a causa della potenza dissipata al suo interno, raggiungendo, pertanto, la temperatura di regime legata alla particolare condizione di funzionamento.
Affinché la macchina elettrica funzioni correttamente, è necessario imporre un limite superiore alle temperature raggiungibili dalle sue diverse parti.
Non bisogna imporre un limite massimo alla temperatura media, bensì alle temperature puntuali raggiunte dalle diverse parti della macchina elettrica.
Gli effetti negativi dovuti alla temperatura sono molteplici: peggioramento delle proprietà meccaniche, deformazioni meccaniche, variazioni dei parametri elettrici e, soprattutto, deterioramento delle proprietà dielettriche dei materiali isolanti.
Il deterioramento delle proprietà dielettriche dei materiali isolanti è legato sostanzialmente alle reazioni chimiche che avvengono nel materiale stesso, tanto più veloci quanto maggiore è la temperatura di funzionamento.
L’invecchiamento dell’isolante causerà, inevitabilmente, il cedimento elettrico, rendendo la macchina inutilizzabile. La legge di decadimento termico dei materiali isolanti è deducibile dalla generalizzazione della legge di Arrhenius:

nella quale si indica con D la durata di vita termica dell’isolante, caratterizzato dalle costanti a e b, e con T la temperatura assoluta in kelvin.
La temperatura di funzionamento di un sistema elettrico non è un parametro di secondaria importanza, poiché da questa dipende la durata di vita termica D di un isolante, che può dimezzarsi anche per innalzamenti di temperatura di 5 °C.
Superata la durata di vita termica, l’isolante non è più idoneo a svolgere il proprio compito.
La prova termica
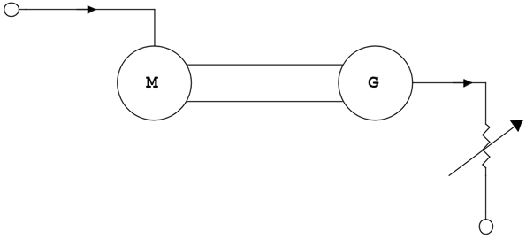
La prova termica di una macchina elettrica deve essere eseguita nelle condizioni di funzionamento nominali della macchina in prova, allo scopo di verificare che non vengano superate la temperature massime ammissibili. Realizzare le condizioni di funzionamento nominali della macchina in prova significa disporre di carichi meccanici (per i motori) ed elettrici (per i generatori), nonché di sorgenti di alimentazioni, adeguati allo scopo. La prova, quindi, non è banale, soprattutto per le macchine di elevata potenza. Per generatori e motori di taglia modesta è possibile utilizzare, rispettivamente, resistori e freni come carichi. Uno schema abbastanza flessibile per macchine di piccola potenza è il seguente:
Con tale metodo è possibile provare entrambe le macchine, purché queste si trovino a funzionare in condizioni nominali. Esistono diversi modi per portare una macchina in regime termico.
Metodi a recupero e circolazione di energia
Il metodo più semplice e flessibile per provare qualsiasi macchina elettrica, recuperando l’energia messa in gioco, è il metodo a recupero e circolazione di energia. Con questo metodo è possibile recuperare l’energia assorbita dal sistema elettrico, eccetto le perdite delle macchine in prova. Alla rete, pertanto, si richiede la sola potenza persa nelle macchine e nelle diverse trasformazioni di energia, nonostante la macchina in prova funzioni in condizioni nominali.
Gli schemi classici del metodo a recupero e circolazione di energia prevedono due configurazioni distinte:
- schema con quattro macchine differenti;
- schema con due macchine identiche.
Per eseguire le letture bisogna attendere il regime termico .
Metodo a recupero e circolazione di energia con macchine diverse
Lo schema prevede quattro differenti macchine elettriche: due a corrente alternata e due a corrente continua.
Le macchine a corrente alternata possono essere, indifferentemente, macchine asincrone o sincrone.
Lo schema permette di provare una o più macchine, purché queste funzionino in condizioni nominali.
Il motore a corrente alternata richiede alla rete la potenza P1, affinché la macchina (o le macchine) in prova si porti in condizioni di funzionamento nominale. Al suo albero è calettata una dinamo, la quale alimenta un motore a corrente continua a sua volta caricata con un generatore a corrente alternata che eroga la potenza P2.
Alla rete di alimentazione si richiede, pertanto, solo la potenza P1-P2, cioè le perdite del sistema, nonostante le macchine funzionino in condizioni di carico nominale.
Le due macchine a corrente continua rendono la configurazione circuitale molto flessibile dal punto di vista della regolazione.
Lo schema, inoltre, può essere semplificato utilizzando i convertitori elettronici di potenza. Il convertitore di potenza, infatti, permette di dimezzare il numero delle macchine in gioco.
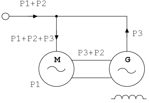
Metodo a recupero e circolazione di energia con macchine identiche
Lo schema prevede due macchine elettriche identiche: un motore e un generatore. Esistono due schemi duali. Nel primo schema le perdite P1+P2 del sistema sono sostenute dalla rete di alimentazione
Nel secondo schema, invece, le stesse perdite sono sostenute da un motore ausiliario.
Il motore ausiliario è un motore tarato, quindi è possibile risalire alla potenza meccanica all’albero per ogni condizione di funzionamento. Quest’ultimo schema è poco usato sia perché richiede l’uso di un motore tarato (la taratura non è banale) sia perché le misure di tipo elettriche sono più semplici ed accurate rispetto alle misure di tipo meccaniche.
Il metodo è stato presentato utilizzando macchine rotanti, ma è possibile provare anche trasformatori.
In relazione al tipo di macchina elettrica da provare, inoltre, sorgono differenti problemi, non banali soprattutto per le macchine rotanti, che rendono impossibile il funzionamento stesso del sistema.
Si pensi a due macchine asincrone identiche. Le due macchine sono calettate pertanto devono ruotare alla stessa velocità, però il motore richiede uno scorrimento negativo mentre il generatore richiede scorrimenti positivi. Il funzionamento del sistema, in queste condizioni, è impossibile. Il problema si risolve calettando le due macchine a mezzo di dispositivi in grado di variare il rapporto di trasmissione.
Esercizio
Durante la stesura dell’articolo ho pensato a questo esercizio per evidenziare l’energia risparmiata col metodo a recupero e circolazione di energia.
Si immagini un alternatore trifase che alimenti un carico a 400 V, 50 Hz. Il motore primo dell’alternatore è una macchina a corrente continua, alimentata alla sua tensione nominale costante.
I dati di targa della macchina a corrente continua sono i seguenti:
- potenza nominale Pn=45 kW;
- tensione nominale Vn=200 V;
- resistenza di armatura 0,055 p.u.
I dati di targa della macchina a corrente alternata sono i seguenti:
- potenza nominale An=50 kVA;
- tensione nominale Vn=400 V;
- fattore di potenza 0,8.
La macchina da provare è l’alternatore, pertanto funzionerà in condizioni nominali. In particolare, si regolerà il carico affinché la macchina eroghi 50 kVA con cosfi=0,8 in ritardo alla frequenza di 50 Hz.
Non ci sarà alcun recupero di energia.
La potenza attiva erogata dall’alternatore è:
Considerando trascurabili le perdite nell’alternatore e le perdite meccaniche, il motore a corrente continua dovrà fornire all’albero la potenza meccanica Pm =P=40 kW.
Le uniche perdite che considereremo sono, per semplicità, le perdite per effetto Joule sul circuito di armatura della macchina a corrente continua.
Quando nulla viene specificato, i valori in p.u. delle grandezze elettriche sono sempre riferiti ai valori nominali del sistema in esame, pertanto la resistenza base della macchina a corrente continua vale
La resistenza di armatura della stessa è:
Data le ipotesi di idealità, dall'espressione della potenza meccanica all’albero, è possibile scrivere la seguente equazione:
La corrente d'armatura del motore è l'incognita.
Dall'equazione precedente si ottiene
Ia = 211A
La potenza totale richiesta dalla macchina a corrente continua alla rete di alimentazione vale:
Se si fosse utilizzato un metodo a recupero e circolazione di energia, l’unica potenza richiesta alla rete, nelle condizioni di idealità dell’esercizio, sarebbe stata la potenza persa sul circuito di armatura della macchina a corrente continua:
Conclusioni
L’esercizio è solo un riferimento mentale, utile a comprendere gli ordini di grandezza delle potenze in gioco. La configurazione circuitale dell’esercizio, visto come schema di misura, è impensabile. La prova è troppo onerosa (potenza assorbita superiore a 40 kW), inoltre non esistono carichi elettrici, tipo resistori, idonei ad eseguire la prova precedente.
Le prove termiche presentate nell’articolo permettono anche di misurare (e non calcolare come è stato fatto) le perdite, quindi il rendimento della macchina in prova. Se è necessario misurare la sovratemperatura degli avvolgimenti della macchina, questa non viene misurata con termometri, ma attraverso una misura di resistenza. Dal valore di resistenza, e seguendo uno dei metodi indicati dalle norme tecniche, si risale alla sovratemperatura degli avvolgimenti.
Oggi, grazie alla diffusione dei convertitori e di particolari pacchetti software integrabili con la strumentazione di misura elettronica, gran parte delle misure sono eseguite automaticamente, diminuendo, così, la possibilità di errori da parte dell’operatore.

Elettrotecnica e non solo (admin)
Un gatto tra gli elettroni (IsidoroKZ)
Esperienza e simulazioni (g.schgor)
Moleskine di un idraulico (RenzoDF)
Il Blog di ElectroYou (webmaster)
Idee microcontrollate (TardoFreak)
PICcoli grandi PICMicro (Paolino)
Il blog elettrico di carloc (carloc)
DirtEYblooog (dirtydeeds)
Di tutto... un po' (jordan20)
AK47 (lillo)
Esperienze elettroniche (marco438)
Telecomunicazioni musicali (clavicordo)
Automazione ed Elettronica (gustavo)
Direttive per la sicurezza (ErnestoCappelletti)
EYnfo dall'Alaska (mir)
Apriamo il quadro! (attilio)
H7-25 (asdf)
Passione Elettrica (massimob)
Elettroni a spasso (guidob)
Bloguerra (guerra)