Presentazione
Salve a tutti, questo è il mio primo articolo in ElectroYou, diciamo che sicuramente ho ancora bisogno di parecchio esercizio con questo strumento;
Quanto segue è la rivisitazione di una relazione effettuata per un corso che ho seguito qualche anno fa; visto che nel forum l'argomento riscuote una certa popolarità ho pensato di pubblicarlo.
Premessa
L’affermazione dell’elettronica di potenza ha reso sempre più diffusa l’alimentazione di motori asincroni mediante convertitori statici piuttosto che direttamente da rete. Tra le tecniche di controllo adottate, quella del controllo scalare è al momento la più diffusa, specialmente per quelle applicazioni nelle quali non è richiesta un risposta dinamica particolarmente prestazionale. Scopo dell’esperienza è confrontare il comportamento dinamico e stazionario del suddetto controllo scalare.
Parte I: Costruzione e verifica del modello del motore asincrono.
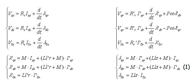
Come primo passo si è costruito un modello del motore asincrono in ambiente Simulink. Si è scelto di utilizzare la trasformazione di coordinate nel riferimento stazionario. Le equazioni della macchina asincrona in questo caso risultano essere :
Per svincolare dal riferimento stazionario il modello si è scelto di effettuare all’ingresso del nostro modello un cambiamento di coordinate (a,b,c) (q,d,0)s. Il modello ottenuto ed implementato in Simulink è riportato nella figura sottostante.
La figura mostra il legame dei flussi di statore e di rotore con le correnti, mediante l’inversione della matrice delle induttanze [L] . In base ai valori delle correnti all’iterazione “i” vengono calcolati i valori delle cdt resistive all’iterazione “i+1” e quindi le variazioni dei flussi e le correnti all’iterazione “i+1”.
In questo modello sono state trascurate le perdite per isteresi e quelle per ventilazione. La correttezza del modello è stata dimostrata per confronto con un altro modello di motore asincrono (più complesso e facente riferimento ad una s-function) ; in entrambi i modelli sono stati inseriti i medesimi parametri elettrici. Nel modello più avanzato il valore del coefficiente di attrito viscoso del motore è stato posto pari a 0 per potere eseguire un confronto realistico. I risultati della simulazione sono stati confortanti : i valori di coppia, velocità e tensioni ottenuti dai due modelli sono perfettamente sovrapponibili. Una volta verificata la correttezza del modello si è passati a simulare il comportamento del motore asincrono alimentato direttamente da rete.
Parte II: alimentazione diretta da rete
La rete trifase è stata simulata come una terna di tensioni sinusoidali sfasate di 120°, di ampiezza pari alla tensione nominale di fase del motore. Per tutte le simulazioni verrà usato il medesimo motore asincrono con le seguenti caratteristiche :
- Fn=60 [Hz]
- Vn=460 [V]
- Jm=1.666 [kg m^2]
- Rs=0.087 [Ohm]
- Rr=0.228 [Ohm]
- Lls =Llr= 0.302/(Fn*2*pi) [henry]
- M = 13.08/(Fn*2*pi) [henry]
- p=2
- P= 37.3 [kW]
- Tn=196 [Nm]
Si è ipotizzato un carico di inerzia pari a 4 volte l’inerzia del motore stesso e con una coppia resistente linearmente crescente con la velocità fino al valore nominale del motore.
I risultati sono di seguito riportati (Fig 2.1):
Per evitare di appesantire i calcoli solo un campione ogni 10 di corrente è stato importato in excel; ciò ha comportato un evidente aliasing, del resto ininfluente ai nostri scopi : il massimo picco di corrente risulta di 600 A, pari a 10 volte il valore efficacie della corrente nominale; la corrente allo spunto (RMS) vale quindi circa 7 volte la corrente di regime (RMS). Il tempo di avviamento risulta comunque non trascurabile; andando a calcolare l’ I2 t come integrale di I2 otteniamo (Fig 2.2) :
Il valore dell’I2t alla fine dell’avviamento vale 25x10^4 [A^2 s]. Per semplicità si sono trascurate le c.d.t. lungo la linea in fase di avviamento. L’andamento della coppia in funzione della velocità è riportato nella figura sottostante (Fig. 2.3 )
Per risolvere questi problemi si sono diffusi nel settore industriale i cosiddetti soft-starters, ossia controlli in catena aperta in grado di fornire una rampa di tensione e di limitare così (senza alcuna retroazione) la corrente di avviamento.
Parte 3 :soft starter
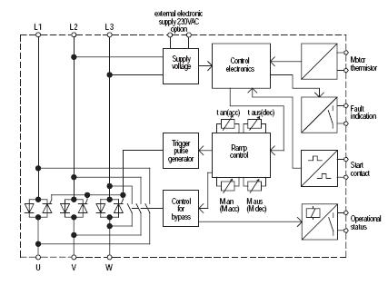
Un primo tipo di controllo, denominato commercialmente soft-starter, agisce esclusivamente sul valore di tensione;in tale senso esso è un’evoluzione dell’avviatore stella triangolo. Nella versione più semplice un soft starter riceve come unici input di controllo il tempo desiderato di avviamento, e il valore iniziale di tensione (voltage boost) che vanno scelti in funzione dei valori di inerzia e coppia di carico (Fig 3.1).
Questo tipo di controllo si è diffuso rapidamente in virtù del suo basso costo, dovuto alla semplicità del controllo ed all’uso di tiristori piuttosto che di componenti completamente controllabili.
Il funzionamento è semplice : utilizzando degli SCR si parzializza la tensione di alimentazione degli avvolgimenti di statore, regolando l’ampiezza agendo sul gate degli stessi SCR. A fine avviamento un contattore provvede a bypassare i componenti elettronici per limitare le perdite. Il fatto di poter variare linearmente la tensione piuttosto che con 2 gradini (come nel convenzionale avviamento stella-triangolo) consente di eliminare il picco di corrente dovuto alla commutazione.
Questo sistema di controllo trova applicazione per azionamenti a velocità fissa e con avviamento difficoltoso, quale alternativa a meno efficaci metodi tradizionali (avviamento stella-triangolo, avviamento reostatico ecc…).
Analizziamo come la scelta dei parametri di controllo, generalmente regolabili tramite potenziometri sull’apparecchiatura, possa influire pesantemente sulle prestazioni del controllo; per prima cosa si è scelta una rampa di avviamento ripida (ta=2,5s) ed un voltage-boost nullo.
I risultati in termini di correnti sono riportati di seguito (Fig 3.2 e 3.3).
La corrente allo spunto risulta oltre 5 volte quella nominale, non molto inferiore a quella conseguente all’avviamento diretto. Possiamo inoltre riportare la curva dei punti (T-w) all’avviamento per evidenziare come questo tipo di controllo riduca fortemente la coppia allo spunto, nonostante la presenza del voltage-boost (Fig.3.4).
. Aumentando invece il ta fino a 10 s ed imponendo il voltage boost al 15% possiamo limitare il picco di corrente a 4 p.u. ( Fig 3.5 e 3.6).
Possiamo notare come, sebbene il picco di corrente sia inferiore rispetto al caso precedente, l’I2t sia addirittura superiore a causa dell’elevato tempo di avviamento e alla caratteristica lineare della coppia di carico; pertanto possiamo dedurre che aumentando ulteriormente il tempo di avviamento si ridurrà ulteriormente il valore di picco, ma l’ I2t risulterà ancora maggiore.
Per ottenere migliori risultati bisogna associare alla rampa di tensione una rampa di corrente con il ben noto principio V/f = cost. (Fig 4.1). Questo ovviamente richiede, dal punto di vista dei componenti elettronici di potenza, il passaggio a elementi completamente controllati, per la realizzazione di un vero e proprio inverter.
Parte 4 :controllo V/f = cost
Anche in questo caso (rappresentato in Fig 4.1)è essenziale la scelta del ta ; infatti un tempo di avviamento troppo rapido comporta un aumento dello scorrimento e quindi una elevata corrente di avviamento, andando quindi ad inficiare l’utilità dell’azionamento. A tal proposito è stata effettuata una simulazione con un tempo di avviamento ridotto, pari a quello ottenuto con l’avviamento diretto da rete (ta=2,5s); i risultati sono riportati in Fig 4.2 ed in Fig. 4.3.
Notiamo come, per avviare il motore in un tempo paragonabile a quello con l’inserzione diretta con questo metodo di controllo, sia comunque necessaria una corrente allo spunto notevolmente superiore a quella nominale (a causa di un eccessivo scorrimento), benché inferiore a quella necessaria con avviamento diretto da rete. L’ I2 t al termine della fase di avviamento risulta infatti 2,5 volte inferiore rispetto all’avviamento diretto.
Ponendo un tempo di avviamento maggiore, pari a ta = 10 s possiamo notare come le correnti risultino notevolmente inferiori (Fig 4.4 e 4.5)
La corrente di avviamento risulta estremamente contenuta e supera di circa il 20 % il valore della corrente nominale. L’ I2 t risulta circa la metà rispetto al caso precedente e circa 1/5 rispetto all’inserzione diretta in rete.
La logica di controllo descritta ha trovato numerose applicazioni soprattutto in ambito industriale per quanto riguarda grandi motori, che debbano lavorare a velocità costanti a tratti, ma soggetti a ripetuti avviamenti; in questo caso il succedersi delle correnti di spunto comporta per il motore una maggiore sollecitazione ed un sovradimensionamento dell’impianto elettrico, oltre ad un calo nel rendimento complessivo a causa dei ripetuti cicli di accensione.
Si ricorda inoltre che l’alimentazione per mezzo di moderni inverter consente di fornire al motore una terna di tensioni sinusoidali praticamente simmetriche, evitando il manifestarsi di componenti di sequenza inversa di corrente e coppia.
Molti azionamenti commerciali per piccole taglie includono inoltre la funzione di frenatura in continua. Questo sistema consente delle economie sul convertitore AC/DC che non deve essere di tipo reversibile in quanto l’energia delle masse rotanti, piuttosto che essere recuperata, viene dissipata nel rotore della macchina, senza la necessità di resistenze esterne. Solitamente viene scelta una tensione continua pari alla Vcc di macchina, tale quindi da stabilire sullo statore la corrente nominale.
Parte 5 :controllo di scorrimento
Per migliorare il comportamento dinamico del controllo scalare sopra descritto è possibile agire in modo da controllare il valore della frequenza di scorrimento, al fine di evitare che essa superi il valore nominale. Questo comporta di fatto un controllo di corrente, dal momento che in queste condizioni, la corrente non supera il valore nominale stesso. La caratteristica s-I del motore asincrono infatti può essere con ottima approssimazione linearizzata dalla velocità di sincronismo fino alla velocità nominale, per valori della corrente dalla I0 alla In.(Fig5.1)
La pendenza della retta risulta essere :
Pertanto possiamo calcolare la frequenza di scorrimento, una volta note la corrente a vuoto e quella di fase :
A questo punto è anche possibile legare la coppia allo scorrimento e quindi alla corrente di statore, tornando ad un controllo simile a quello di un motore in corrente continua.
La relazione tra coppia e scorrimento viene linearizzata come una proporzionalità diretta :
A questo punto è semplice implementare anche un anello di coppia-velocità tenendo conto che la velocità del rotore può essere calcolata come :
Per semplicità, e visto che con questo tipo di controllo non sarebbe comunque possibile ottenere errori nulli, per via delle ingenti semplificazioni assunte, il regolatore di velocità è stato scelto di tipo proporzionale.
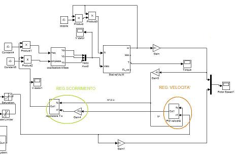
Lo schema ottenuto è di sotto rappresentato (Fig. 5.2 e 5.3), rispettivamente senza e con controllo di velocità:
La differenza tra le due tipologie di controllo è essenzialmente nella presenza del blocco slip calculator, che implementa le relazioni (3) e (4).
La presenza di tale blocco comporta un risparmio in termini di componenti, evitando di utilizzare un encoder, ma introduce un errore nel valore della velocità rotorica; tale errore è sicuramente trascurabile a regime permanente, ma può essere significativo in fase transitoria, come viene di seguito evidenziato. Ad esempio effettuando con questo controllo l’avviamento a coppia nominale otteniamo il seguente grafico dell’ I2 t (Fig 5.4):
Dalla figura 5.4 è facile verificare che la corrente rimanga costante nel tempo per tutta la fase di avviamento, e pari al valore nominale del motore. La coppia tuttavia non è stabile ed anzi mostra un vistoso transitorio, imputabile sia alla corrente di magnetizzazione che a fenomeni di instabilità locale alle basse velocità. Ciò è evidente andando ad analizzare il grafico (T-w) in fase di avviamento (Fig 5.5).
Infatti un transitorio di corrente, pur non modificando la velocità per via dell’azione di filtro dell’inerzia, viene interpretata dal controllo come una variazione di velocità considerevole. Per questo motivo all’ingresso del regolatore corrente – scorrimento è stato necessario inserire un filtro passa basso, la cui costante di tempo è stata presa nettamente superiore a quella stimata dei transitori elettrici e pari a 50 ms.
Appare inoltre evidente come le relazioni (2) e (3), valide per il regime stazionario, non siano applicabili direttamente a quello dinamico: assume quindi fondamentale importanza per un controllo commerciale l’algoritmo relativo al calcolo dello scorrimento
Parte 6:controllo di velocità
Tramite il controllo di velocità, con feedback di corrente è quindi possibile ottenere un controllo a velocità variabile, come evidenziato dalle simulazioni sottostanti, nelle quali al motore è stato richiesto di seguire una serie di gradini ascendenti di velocità. Nel primo caso (Fig. 6.1 e 6.2 ) i gradini sono stati distanziati di 5 secondi, nel secondo (Fig. 6.3 e 6.4) di 2 secondi.
Si nota come già nel primo caso, sebbene l’azionamento riesca a fare seguire con fedeltà i tratti costanti, esso abbia problemi nel transitorio, laddove le correnti crescono (come valore di picco) oltre il valore nominale.
La situazione risulta ancora peggiore nel caso sia richiesta una maggiore prestazione dinamica.
Appaiono in questo caso evidenti i limiti dinamici di questo tipo di controllo, dettati in primo luogo dalla incertezza sulla velocità di rotazione del rotore (calcolata tramite la corrente) ed in secondo luogo dalla limitazione intrinseca del controllo scalare che non considera la posizione del campo di rotore.
Infatti, considerando un profiler meno prestazionale il comportamento, anche dinamico, migliora notevolmente; nel primo dei due casi seguenti (Fig 6.5 e 6.6) è stato considerato un rate limiter pari a 0.15 s-1, nel secondo caso (Fig 6.7 e 6.8) pari a 0.1 s-1, tale cioè da trasformare la successione di gradini in una rampa lineare.
Notiamo come, nel caso si diminuisca la prestazione dinamica richiesta, il controllo reagisce in modo ottimale, sia in termini di aderenza al profilo di velocità, sia in termini di correnti, le quali risultano opportunamente limitate anche nel transitorio di velocità. Sicuramente la scelta di un algoritmo più avanzato per lo slip calculator consentirebbe di migliorare la risposta dinamica del sistema, ma per avere un riferimento puntuale ed affidabile della velocità rotorica è necessario l’uso di un encoder. In questo caso il controllo di scorrimento viene svincolato dalla corrente e dai transitori elettrici di magnetizzazione. Lo schema di controllo è quello riportato in Fig 5.3.
Parte 7 :feedback di velocità
Utilizzando il feedback di velocità per calcolare l’effettivo valore dello scorrimento viene richiesto al controllo di seguire la dinamica di gradini di velocità a 2 secondi ; otteniamo i seguenti andamenti di velocità e corrente (Fig 7.1 e 7.2) :
Come è evidente dai grafici sopra il valore massimo della corrente è questa volta limitato, sebbene non sia presente il rate limiter; tuttavia la macchina migliora solo leggermente il suo comportamento dinamico, non riuscendo a seguire i gradini di velocità.
Per determinare se questa risposta inadeguata sia dovuta ai limiti di coppia e potenza della macchina od alle prestazioni del controllo, si analizza l’andamento della coppia : è evidente come il transitorio elettromagnetico, dovuto all’avere ignorato la posizione del flusso di rotore, causi delle oscillazioni di coppia che di fatto penalizzano la risposta dinamica della macchina. Tale errore è tuttavia molto minore nel caso si utilizzi il feedback di velocità piuttosto che quello di corrente, come si puo’ notare osservando l’andamento della coppia relativo alla simulazione già riportata in termini di velocità e corrente nelle figure 6.5 e 6.6 (Fig.7.3).
A questo punto tuttavia, avendo a disposizione un riferimento di posizione e velocità fornito dall’encoder, è naturale pensare all’utilizzo di un controllo di tipo vettoriale.
Fig. 7.3 : confronto tra feedback di corrente e di velocità, con gradini di 2 secondi, senza rate-limiter
Conclusioni
L’utilizzo di un controllo di tipo vettoriale (che implica però le conoscenze dei parametri elettrici della macchina) permetterebbe di ottenere profili di coppia senza dubbio migliori, specialmente per le fasi di magnetizzazione, consentendo di ottenere dal medesimo motore prestazioni dinamiche ancora superiori.
Tuttavia anche i controlli scalari così descritti consentono di ottenere discrete prestazioni dinamiche (tali da soddisfare numerose esigenze in ambito industriale) ed al tempo stesso non comportano, grazie alla semplicità dello schema di controllo di base,la necessità di conoscere in dettaglio le caratteristiche della macchina. Essi si prestano quindi (specialmente le strutture più semplici) ad un retrofit di macchinari esistenti, potendo essere tarati in loco in base ai soli dati di targa della macchina.
Bibliografia
- ABB Soft Starter Handbook
- Kuo, Benjamin C.; Automatic Control Systems (1995)
- N. Mohan, T. M. Undeland , W. P. Robbins, Power Electronics: Converters, Applications, and Design
- P. Vas,Electrical Machines and Drives, Oxford Press, 1992

Elettrotecnica e non solo (admin)
Un gatto tra gli elettroni (IsidoroKZ)
Esperienza e simulazioni (g.schgor)
Moleskine di un idraulico (RenzoDF)
Il Blog di ElectroYou (webmaster)
Idee microcontrollate (TardoFreak)
PICcoli grandi PICMicro (Paolino)
Il blog elettrico di carloc (carloc)
DirtEYblooog (dirtydeeds)
Di tutto... un po' (jordan20)
AK47 (lillo)
Esperienze elettroniche (marco438)
Telecomunicazioni musicali (clavicordo)
Automazione ed Elettronica (gustavo)
Direttive per la sicurezza (ErnestoCappelletti)
EYnfo dall'Alaska (mir)
Apriamo il quadro! (attilio)
H7-25 (asdf)
Passione Elettrica (massimob)
Elettroni a spasso (guidob)
Bloguerra (guerra)