Indice |
Il problema
Devo alla collaborazione di davidde la possibilità di indagare sul comportamento tipico dei pannelli solari.
Lo ringrazio quindi per le prove effettuate, che hanno permesso la raccolta dei dati sperimentali su cui basare la ricerca.
Scopo di questa è infatti la fattibilità di un modello elettrico equivalente ad un pannello solare, che permetta di prevederne il comportamento in determinate condizioni di utilizzo.
Il pannello solare è un elemento fortemente non-lineare, quindi qualsiasi schematizzazione che non tenga conto di questo è illusoria: molti invece lo considerano semplicemente come una "batteria" (quindi un tipico generatore di tensione), altri, partendo dalla teoria dell'effetto fotoelettrico, lo considerano come un "generatore di corrente costante" (a parità d'irraggiamento).
La realtà è una via di mezzo: a bassa tensione (cioè con carichi a bassa resistenza) si comporta "quasi" da generatore di corrente, per tensioni oltre una certa soglia si comporta invece "quasi" come generatore di tensione.
La realtà: i dati di prova
Partiamo quindi dai dati misurati da davidde su un pannello da 5Wp, con questa configurazione di prova:
Illuminando il pannello con una lampada alogena da 1000W e variando le resistenze di carico si sono ottenuti questi valori:
ed ecco la loro rappresentazione grafica :
La figura dimostra chiaramente quanto prima detto sulla caratteristica dei pannelli: una forte non-linearità con andamenti nettamente diversi per tensioni minori o maggiori ad una certo valore (qui 12V), valore che corrisponde al massimo di potenza utilizzata.
Il grafico è infatti completato dalla curva della potenza (divisa per 10, per necessità di scala) da cui appare che la zona di maggiori potenze è proprio quella a cavallo della tensione in questione.
In realtà il punto a 12V è stato ricavato per interpolazione (non fa infatti parte dei valori misurati), ma è stato evidenziato proprio per mettere in risalto la corrispondenza con la potenza massima erogata (4W, al posto dei 5 nominali, significa che l'irraggiamento, con lampada a 1000W, non è quello massimo previsto per il pannello!)
Modello a segmenti
Le considerazioni fatte sull'andamento della caratteristica, suggeriscono un modello particolarmente semplificato: un modello a 2 segmenti di retta che si incontrano nel punto di massima potenza.
In altre parole, si considerano i 3 punti caratteristici (ricavabili anche dai dati nominali del pannello): in cortocircuito (0,I0), a massima potenza (VM,IM) e a vuoto (V0,0). Le rette che li uniscono sono quindi:
, dove
(quasi generatore di corrente) e
, dove
(quasi generatore di tensione).
Ecco la semplice implementazione in MathCad del pannello da 5Wp visto precedentemente:
Come si puo' vedere, l'approssimazione è grossolana ma, tenendo conto della semplicità del metodo e del fatto che la zona d'interesse pratico è limitata attorno al punto di massima potenza (in questo caso tra 11 e 13V), può essere senz'altro utilizzata.
Modello esponenziale
Alcune pubblicazioni scientifiche fanno derivare il modello da considerazioni teoriche, associando un generatore di corrente ad un diodo di cui si devono stabilire i parametri.
Ecco il modello proposto:
Dove I0 è la corrente in cortocircuito (Vd=0). Per tutti gli altri valoro di carico, la I in uscita stabilisce una tensione Vd che a sua volta determina la corrente Id nel diodo.
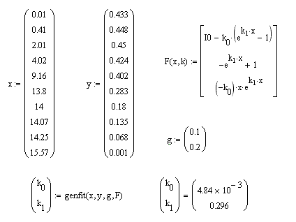
Questo richiede la determinazione dei parametri Io e K, determinazione che può essere fatta partendo dai dati sperimentali ed applicando metodi matematici di "curve fitting".
In particolare verrà qui utilizzata la funzione genfit() di MathCad (per particolari vedi articolo).
I dati sperimentali (x,y) riportati in tabelle, permettono il calcolo dei parametri (qui k0 e k1) della funzione esponenziale che determina la corrente (yc) in funzione della tensione (xc).
Il risultato permette di ricavare l'andamento della curva (traccia rossa) confrontata con i dati sperimentali (punti rossi). Viene anche tracciata (in blu) la significativa curva della potenza (/10):
Come si può vedere, il metodo raggiunge una buona interpolazione dei valori ricavati sperimentalmente.
Altri modelli
Altri, più complessi approcci al problema, considerano ideale la caratteristica dell diodo (con parametri ricavati da leggi fisiche) e "personalizzano" il modello aggiungendo una resistenza in parallelo al diodo ed un'altra in serie all'uscita (vedi ad es. questo).
Per applicazioni del genere, si rimanda a simulazioni "professionali" come quelle disponibili in
LabView.
Per gli scopi di questo studio, penso ci si possa fermare qui, rimandando a prossimi articoli il discorso di come variano i parametri al variare dell'irraggiamento e della possibilità di applicazione dei modelli a problemi concreti di utilizzo dei pannelli solari (ad es. per la carica di batterie).
Visto l'interesse che questi dispositivi suscitano nei visitatori del Forum, sollecito la collaborazione di quanti li hanno utilizzati, perché segnalino risultati ottenuti o difficoltà incontrate, in modo che possano essere considerati nel proseguimento di questo studio.

Elettrotecnica e non solo (admin)
Un gatto tra gli elettroni (IsidoroKZ)
Esperienza e simulazioni (g.schgor)
Moleskine di un idraulico (RenzoDF)
Il Blog di ElectroYou (webmaster)
Idee microcontrollate (TardoFreak)
PICcoli grandi PICMicro (Paolino)
Il blog elettrico di carloc (carloc)
DirtEYblooog (dirtydeeds)
Di tutto... un po' (jordan20)
AK47 (lillo)
Esperienze elettroniche (marco438)
Telecomunicazioni musicali (clavicordo)
Automazione ed Elettronica (gustavo)
Direttive per la sicurezza (ErnestoCappelletti)
EYnfo dall'Alaska (mir)
Apriamo il quadro! (attilio)
H7-25 (asdf)
Passione Elettrica (massimob)
Elettroni a spasso (guidob)
Bloguerra (guerra)