Indice |
Abstract
Risoluzione rete in regime transitorio, con metodologia: manuale via equazioni differenziali e trasformate Laplace, simbolica con Maxima ed infine numerica usando LTspice, VisSim e Scilab (Scicos).
Introduzione
Partendo da una richiesta del forum di Elettrotecnica, risolviamo un esercizio relativo ad una prova di esame del Politecnico di Milano. [1]
Ridisegnamo la rete iniziale cercando di seguire "la normativa" (con Mdraw)
Il testo dell'esercizio è il seguente.
Esercizio 2- Nel circuito di figura, alimentato da molto tempo dalle due sorgenti di tensione costante, si determini, l'espressione analitica della tensione v(t) sul condensatore e della corrente i(t) nell'induttore, in seguito alla chiusura dell'interruttore al tempo t=0, mediante il metodo delle equazioni di stato nel dominio di Laplace.
Considerazioni iniziali
Il circuito per t<0 è da considerarsi a regime (visto l'originale "da molto tempo"), calcoliamo quindi i valori iniziali della tensione e della corrente per t=(0-);
di conseguenza la tensione sul condensatore
non essendo la rete degenere non potranno esserci discontinuità e quindi i valori saranno anche quelli per t=(0+)
Sarà utile determinare anche i valori a regime, raggiunti per
Soluzione manuale
Si possono percorrere due strade diverse:
a) risoluzione con equazioni differenziali
Partiamo con il primo metodo, scrivendo la KCL ad uno dei due nodi e la KVL alla maglia elementare destra.
con condizioni iniziali
Dal sistema di equazioni differenziali otteniamo
e sostituendo i valori dei parametri circuitali
.
L'equazione omogenea associata ha per soluzioni
e cercheremo quindi una soluzione del tipo
applicando le condizioni iniziali, ricaviamo A, B e C
ottenendo
.
La soluzione per la corrente nell'induttore sarà
e una semplice sostituzione nel sistema iniziale fornirà anche
.
b) risoluzione con Laplace
Come metodo alternativo, usiamo Laplace, in questo caso, esplicitamente richiesto.
Tracciamo la rete L-trasformata (questa volta con Tina).
Notiamo come le condizioni iniziali siano implementate con due generatori fittizi, in parallelo con il condensatore ed in serie con l'induttore.
Usando Millman otteniamo direttamente la V(s) = L[v(t)]
che con i valori assegnati si semplifica
dalla quale antitrasformando, otterremo vc(t) .
Come noto a questo punto la strada non è unica, in quanto si possono ricercare diversi tipi di scomposizione, che portano chiaramente allo stesso risulato finale, ma attraverso strade di diversa complessità; ne considereremo due.
Come prima modalità cerchiamo di ottenere una scomposizione in "frazioni parziali " del tipo
dove s1 e s2
sono le soluzioni del polinomio al denominatore di V(s),
nel nostro caso, una radice reale e due complesse coniugate
Per determinare A,B e C non useremo il metodo "normale", ma andremo a ricavarli da particolari valori della variabile s scegliendoli in modo tale che la suddetta identità vada drasticamente a semplificarsi e ricaveremo delle relazioni fra i parametri incogniti attraverso un passaggio al limite; la prima relazione anzi la troviamo proprio come
per la seconda useremo invece un valore di s che non è una radice del denominatore
considerando l'ordine di infinito, ed infine per la terza un valore s=-1
relazioni riassunte nel seguente sistema
che dà come soluzioni
di conseguenza antitrasformando avremo
ed infine
- Secondo metodo
Possiamo provare ora con un secondo metodo, ricercando una scomposizione del tipo
ottenendo rapidamente dalla solita identità
e quindi
sostituendo e cercando di trasformare al fine di ricondurre l'espressione a evidenziare due "trasformate notevoli"
e quindi
notiamo infatti, che le forme presenti nell'ultima "quadra" sono proprio le trasformate del prodotto esponenziale e coseno o seno; immediata a questo punto l'anti-trasformazione
che unita al termine costante (20) darà ancora il risultato finale ma con un percorso algebrico molto più breve
Ovviamente un metodo un po' "preistorico", al giorno d'oggi il risultato può essere ottenuto molto più velocemente con un software per il calcolo simbolico, ad esempio con Mupad
BTW per esercizi, sull'antitrasformazione vedere l'ebook GRATUITO del Prof. Paul Dawkins
o direttamente online su http://tutorial.math.lamar.edu/Classes/DE/InverseTransforms.aspx
Soluzione Simbolica
Risolviamo ora facendoci aiutare fin dall'inizio, da un altro CAS (Computer Algebra Systems) "DOC", wxMaxima;
Seguiremo anche in questa seconda parte, la doppia strada :
prima con equazione differenziale e successivamente con Laplace
a) Equazione differenziale
Utilizzeremo come punto di partenza l'equazione differenziale del secondo ordine in i(t) già ottenuta inizialmente, seguendo i seguenti passi
a) inseriamo l'equazione differenziale... riga (%i1)
b) risolviamo (%i2) ... (alla domanda che wxMaxima ci rivolge, rispondiamo con "p")
c) imponiamo le condizioni iniziali (%i3)
d) valutiamo per i particolari valori numerici (%i4) ottenendo i(t)
e) otteniamo la tensione sul condensatore v(t) usando la seconda equazione del sistema, differenziando i(t) (%i5)
riscrivendole in forma più compatta avremo
b) Laplace
Per non allungare troppo il discorso, il commento a questa sezione sarà ermetico;
chi volesse avere ulteriori chiarimenti può postare una nota all'articolo;
(è disponibile, su richiesta, anche il file .wxm ).
Sfrutteremo la capacità di Maxima di gestire anche le trasformate di Laplace:
a) inseriremo le equazioni differenziali in (%i7) e (%i8)
b) impostiamo i valori iniziali in (%i9), (%i10)
c) trasformiamo con Laplace in (%i11), (%i12)
d) risolviamo il sistema lineare in (%i13)
e) fattorizziamo in (%i14)
f) antitrasformiamo in (%i15)
Otteniamo i seguenti risultati
Per plottarla basteranno un paio di righe di codice;
dal grafico possiamo verificare i valori iniziali e a regime per
c) Sistemistica
attraverso l'uso delle matrici caratteristiche, della matrice di transizione di stato e di Laplace.
NB per semplificare l'output simbolico alcuni passaggi di Maxima non sono stati esplicitati ! (chiudendo la riga con "$")
Simulazione Numerica
Come simulatori numerici useremo tre software completamente freeware :
- a) LTspice:
disegnamo la rete
e imponiamo le condizioni iniziali nel condensatore, aggiungendo al valore della capacità un ic=v(0-), nel nostro caso ic=11.667, nella finestra d'inserimento
e così faremo anche per l'induttore.
Infine impostiamo il tipo di analisi, nel nostro caso Transient con tempo finale a 12 s, ricordando di selezionare l'opzione "Skip Initial operating point solutions" come in figura,
un "Run" ed una successiva misura di tensione su C e di corrente in L, fornirà i seguenti andamenti temporali.
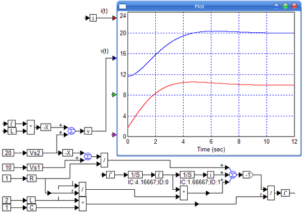
- b) VisSim3
Useremo l'equazione differenziale di secondo grado già ricavata in precedenza, ma riscritta come
;
questa uguaglianza, ci permetterà di chiudere il sistema "all'indietro" realizzando un "loop".
Si partirà a costruire la catena di integrazione per
dalla sua derivata seconda
(si notino nei blocchi 1/s gli inserimenti delle condizioni iniziali IC); si concluderà ancora con il riferimento a questo blocco sull'estrema destra, chiudendo l'anello.
Faremo uso invece della seconda equazione del sistema
per ricavare e tracciare la v(t) .
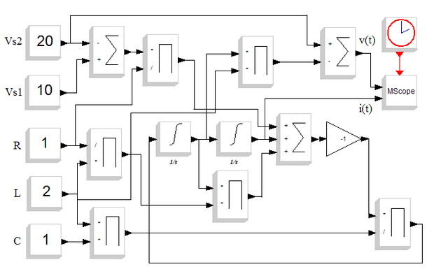
- c) Scicos
Usando la stessa metodologia utilizzata per VisSim, inseriamo lo schema a blocchi in Scicos,
impostiamo i parametri della simulazione; un Run finale porterà a
Come prevedibile, le varie metodologie portano a risultati concordanti; per fortuna ! ;)
Links
Visto che tutto l'articolo si impernia sulle equazioni differenziali e sulle trasformate di Laplace,
a) per chi volesse farsi una cultura sull'argomento, potrà farlo attaverso un videocorso del MIT e precisamente il 18.03 Differential Equations tenuto dal MITICO Professor Arthur Mattuck !
Un esempio: "Lecture 19"
b) per chi desiderasse qualcosa di "più leggero" potrebbe partire dai
34 video sull'argomento
Un esempio: "Laplace Transform 1"

Elettrotecnica e non solo (admin)
Un gatto tra gli elettroni (IsidoroKZ)
Esperienza e simulazioni (g.schgor)
Moleskine di un idraulico (RenzoDF)
Il Blog di ElectroYou (webmaster)
Idee microcontrollate (TardoFreak)
PICcoli grandi PICMicro (Paolino)
Il blog elettrico di carloc (carloc)
DirtEYblooog (dirtydeeds)
Di tutto... un po' (jordan20)
AK47 (lillo)
Esperienze elettroniche (marco438)
Telecomunicazioni musicali (clavicordo)
Automazione ed Elettronica (gustavo)
Direttive per la sicurezza (ErnestoCappelletti)
EYnfo dall'Alaska (mir)
Apriamo il quadro! (attilio)
H7-25 (asdf)
Passione Elettrica (massimob)
Elettroni a spasso (guidob)
Bloguerra (guerra)