Indice |
Perché queste note
Negli ultimi tempi in molti forum sono state aperte diverse discussioni relative a problematiche legate alla fisica del tempo, allo spazio.
Io sono essenzialmente un teorico, conseguentemente mi piace cercare le verifiche pratiche a teorie e ipotesi senza mai indulgere a fantasie piu' o meno cervellotiche di alieni o di ipotesi che non possono al momento essere valorizzate, vedi tunnel spazio temporali o ipotesi di viaggi attraverso i buchi neri.
In questa ottica ho pensato di scrivere alcuni appunti su uno dei primi (e unici) utilizzi pratici della teoria della relatività inserito nella tecnologia del GPS, ma procediamo per gradi.
Le domande più comuni sull'argomento sono sempre le stesse:
- Cosa e' il sistema GPS
- Che differenza c'e' tra GPS ed A-GPS
- E' possibile disabilitare l'A-GPS
- L'A-GPS ha un costo, se si, quanto mi costa?
- Ma e' vero che la teoria della relatività e' fondamentale per il GPS?
Il sistema GPS
Il GPS e' costituito da tre parti: il segmento spaziale, il segmento di controllo e segmento degli utenti.
Anche se a noi interessa il settore utenti la parte essenziale, più costosa e più interessante e' la sezione spaziale ove, come vedremo, sono state installate tecnologie che solo una grande nazione con settori di ricerca e aziende con tecnologia applicata assolutamente di primo ordine , e grande lungimiranza realizzativa puo' permettersi.
Qualche persona ha lanciato l'ipotesi che la tecnologia sottostante al GPS derivasse da una qualche forma di reverse engineering di origine aliena, ma sono parole non suffragate da alcuna prova.
Io, vecchio ma tenace cercatore di funghi e "gold seeker", ormai non rinuncio più a tornare nei punti di precedenti ritrovamenti, che in altri tempi avrei soltanto affidato alla memoria e all'esperienza, con l'aiuto di un GPS adatto al trekking.
Un poco di storia
Il Global Positioning System (GPS), e' stato sviluppato per soddisfare le esigenze militari del Dipartimento della Difesa (DoD) degli Stati Uniti d'America. La sua nascita avvenne nel 1973 per soli scopi militari, ma solo il 27 aprile del 1995 il sistema divenne completamente operativo. Per la sua realizzazione gli USA hanno speso la ragguardevole cifra di 12 miliardi di dollari (di allora !), ed il DoD ne detiene a tutt'oggi i diritti e la proprietà.
Il sistema, noto con la sigla NAVSTAR (Navigation System with Time and Ranging - Sistema di navigazione con tempo e distanza) si basa su un gruppo di almeno 24 satelliti operativi (e di altri di riserva) in orbita intorno alla Terra (attualmente sono 31 o 32),
I satelliti sono posizionati in modo che da ogni singolo punto del nostro pianeta siano sempre, almeno e contemporaneamente, visibili tra i 5 e gli 8 satelliti che viaggiano a gruppi di quattro su sei orbite inclinate di 55° rispetto all'equatore, posizionati ad un'altezza tra 18.000 e 20.000 km, con un periodo di rivoluzione di circa 12 ore, le orbite sono leggermente ellittiche.
Ora identifichiamo il secondo, che e' definito come il tempo impiegato da 9 192 631 770 cicli della radiazione emessa da un atomo di cesio-133 in particolari condizioni, un orologio che conta i cicli della radiazione emessa da un gas e' un orologio atomico. Oltre al cesio, viene spesso usato il rubidio. Ogni satellite ha a bordo quattro orologi atomici.
Questi satelliti inviano costantemente su tutta la superficie terrestre dei segnali sotto forma di semplicissimi "bip" radio che vengono ricevuti da una normale antenna collegata al ricevitore in una posizione geografica certa, ed utilizza i segnali provenienti da diverse posizioni geografiche dei satelliti per triangolare la propria posizione (si usa questo termine, perche', tecnicamente, per mantenere un segnale persistente, dopo una prima fase di allineamento generale, sarebbero sufficienti 3 satelliti che inviano segnali in modo triangolare, più un satellite extra che invia informazioni sull'altitudine).
Fase di ALLINEAMENTO.
All'inizio un ricevitore GPS, privo fino a quel momento di qualsiasi informazione di posizionamento, inizia a ricevere segnali dai satelliti nello spazio, molti sono nascosti dalla posizione planetaria e dalla posizione nell'asse, rispetto ai meridiani e i paralleli dove i satelliti sono divisi in gruppi di quattro su ognuno dei sei piani orbitali, se questo segnale non giunge all'antenna, questi sono denominati "invisibili" e non utili, appena almeno 8 di questi satelliti riescono a restituire all'apparecchio informazioni relative alla posizione specifica, l'apparecchio rimane costantemente in contatto con i satelliti e da li in poi sono sufficienti solo quelli della triangolazione, ovvero, 3 satelliti (4 per l'altezza), per mantenere il segnale costante.
Fase di POSIZIONAMENTO.
La posizione ottenuta, viene confrontata in tempo reale con il software di cartografia, in questo modo e' possibile stabilire con estrema precisione (diciamo, come esempio, circa 10 metri) la propria posizione su una mappa cittadina, nazionale o planetaria.
La fase di NAVIGAZIONE.
Una volta ottenuto il posizionamento, sempre con l'ausilio di software specifici, e' possibile ottenere un calcolo di un percorso ottimale, da una zona della mappa ad un altra, e successivamente, ricevere istruzioni per effettuare il percorso in maniera efficiente.
La fase di RICALCOLO.
Per pura curiosità: quando uno dei punti del percorso non viene rispettato, e il software non e' in grado di effettuare un riscontro delle informazioni cartografiche con quelle di navigazione (strada chiusa? lavori in corso? senso di marcia cambiato? svincolo obbligatorio?) un nuovo percorso viene rielaborato quasi in tempo reale.
Passiamo all'utilizzo: GPS e A-GPS.
I palmari ed i cellulari avanzati sono dotati di antenna GPS con modalità A-GPS, ovvero ASSISTED GPS, che insieme al software di navigazione satellitare permettono di usare il dispositivo in questione come un navigatore satellitare vero e proprio.
I dispositivi GPS stand-alone commerciali, come Tomtom e Garmin, per citarne un paio dei più diffusi, generalmente sono dotati di antenne di discreta ampiezza di banda e di speciali algoritmi per l'allineamento rapido ai satelliti.
Nelle ultime generazioni cio' avviene in meno di un minuto, tempo che e' stato notevolmente ridotto rispetto alle prime versioni di questi apparecchi, che richiedevano tempi di allineamento a volte di 10 o 20 minuti. Questo e' dovuto anche all'utilizzo di chipset per il controllo del sistema satellitare, più potenti ed avanzati, tra i quali posso citare il Sirfstar, come uno dei più noti.
Ma sono disponibili anche chipset Samsung e Skyteq, molto potenti e utilizzati in apparecchi di parecchie marche.
I cellulari ed i palmari utilizzano spesso chipset personalizzati ed hanno in genere il sistema GPS integrato a tante altre applicazioni, l'antenna di ricezione e' generalmente unica, ed il particolare design degli smartphone e dei palmari rende poco ottimale la ricezione del segnale GPS, ecco perché e' nato l'A-GPS, un sistema che migliora e potenzia la ricezione del segnale GPS, appoggiandosi sia alla rete dati che alla rete fonia per ottenere informazioni supplementari sul posizionamento, da sommare a quelle che arrivano dai satelliti nello spazio.
Questo procedimento, invero molto complesso ottiene un allineamento più rapido e mantiene un segnale più costante durante il percorso.
Come detto il GPS ha bisogno di 8/9 satelliti visibili per determinare un primo allineamento efficiente della posizione iniziale, a seguito sono sufficienti 3 satelliti per mantenere il segnale, o 4 per avere anche l'altezza relativa, ma per scoprire 8/9 satelliti, e quindi per compiere l'allineamento GPS, i tempi richiesti da un dispositivo smartphone che non abbia nessun precedente segnale di riferimento, possono variare da 3 a 30 minuti.
I fattori che incidono sulla rapidità dell'allineamento a 8/9 satelliti GPS in simultanea, sono molteplici, tra i quali:
- Copertura dei palazzi circostanti (palazzi alti, palazzi bassi)
- Orario del giorno e relativo posizionamento dei satelliti (migliore al mattino)
- Schermatura dei parabrezza auto (schermati o non schermati)
- Posizione geografica in cui ci si trova (peggiore segnale in città, migliore nelle isole o lungo le coste)
- Saturazione ionica (cielo coperto, nuvoloso, oppure cielo azzurro e pulito)
- Velocità di movimento (posizione fissa, oppure in movimento)
Con la modalità A-GPS, questi tempi si riducono ai tempi necessari per ottenere l'allineamento con solo 3/4 satelliti, il che generalmente, su un cielo che ne offre di media sempre 4/6, si riduce a pochi secondi, quindi l'allineamento in modalità A-GPS, avviene in un tempo approssimativo dai 5 ai 20 secondi.
E' possibile disabilitare l'A-GPS?
Secondo le varie documentazioni, la maggior parte degli smartphone permette di disabilitare la modalità A-GPS (ricordarsi che aumentano i tempi necessari all'allineamento) abbattendo completamente i costi della navigazione satellitare.
L'A-GPS ha un costo, se si, quanto mi costa?
L'A-GPS, si appoggia a rete fonia per ottenere delle informazioni, solo di riferimento dai ponti radio, e questo e' sufficiente per compiere l'allineamento, in zone dove la copertura satellitare e' già discreta, questo ha generalmente e' a costo zero.
Sfortunatamente, l'A-GPS, si allaccia anche alla rete dati, per scaricare alcuni bytes (in realtà davvero pochi, l'equivalente di un piccolissimo file ascii con due numeretti..) che contengono informazioni e coordinate, questo ha un costo che e' l'equivalente del traffico telefonico che il vostro provider di telefonia vi addebita per effettuare un download di un file di pochi bytes.
Generalmente questo e' di pochissimi centesimi, da 3 a 6 una tantum, cioe' una volta che l'A-GPS si e' allineato con i satelliti, e l'antenna riesce a mantenere una copertura costante con almeno 3 satelliti, l'A-GPS, non ha la necessità di riallinearsi (e quindi addebitarvi altri centesimi), e questo, generalmente, vale per un intero percorso dal punto di inizio fino alla destinazione prefissata.
Questo significa che in condizioni normali, mantenendo sempre l'apparecchio acceso con il software di navigazione attivo, un viaggio da Napoli a Milano, costa al massimo 3/6 centesimi. Con una sosta all'area di servizio potrebbe costare un altro paio di centesimi di riallineamento se la sosta e' troppo lunga, ma se il cielo e' aperto, non costerà niente nemmeno ripartendo dopo un paio d'ore.
Ho detto "generalmente", perche' ci sono una serie ci condizioni in cui l'A-GPS, potrebbe avere dei costi rilevanti, e vanno menzionate, anche se si tratta di condizioni atipiche:
- Se l'apparecchio perde continuamente segnale, in pessime condizioni atmosferiche nel centro di una città piena di palazzi altissimi, in una zona con scarsa copertura, l'apparecchio potrebbe attingere continuamente alla rete dati, e scaricare continuamente il vostro credito
- Molti provider dispongono un traffico telefonico a tempo e non a volume, con un traffico minimo di tempo addebitato appena ci si allaccia alla rete dati, costo che potrebbe essere di 1 euro, 2 euro o più... in questo caso, l'allacciarsi all'A-GPS, costerebbe 1 o 2 euro ad ogni allineamento, indipendentemente dal fatto che il dispositivo scarichi pochi bytes, l'addebito del provider sarebbe quello relativo alla minima tariffazione a tempo applicabile.
- Molti software di navigazione attingono, dalla rete dati, oltre ad informazioni satellitari (pochi bytes) anche informazioni cartografiche (molti MEGAbytes), in questo caso, gli addebiti sono quelli relativi ai costi del gestore per un traffico dati continuo in megabytes, e i costi non sono da imputare esclusivamente all'uso di A-GPS. Per menzionare un paio dei software in questione, ricordiamo: NOKIA HERE MAPS e GOOGLE MAPS, e' bene ricordare che nel caso del primo, e' possibile, con un corredo software preventivo fornito dalla casa stessa, scaricare in anticipo le mappe, e quindi abbattere i costi di traffico cartografico, e nel caso del secondo, e' raccomandabile l'utilizzo di una tariffazione per traffico dati di tipo flat o a grosso volume mensile.
Il segmento di controllo
Il segmento di controllo GPS e' costituito da un gruppo di stazioni di monitoraggio che si trovano in tutto il mondo (Hawaii e Kwajalein nell'Oceano Pacifico; Diego Garcia nell'Oceano India, Isola di Ascensione nell'Oceano Atlantico, e Colorado Springs, Colorado) ed una stazione di terra principale a Falcon Air Force Base in Colorado Springs, Colorado, quattro grandi stazioni di antenne terrestri che trasmettono i segnali ai satelliti.
Le stazioni di monitoraggio misurano il segnale proveniente dai satelliti GPS e lo confrontano con i modelli orbitali determinando, tra l'altro, la correzione del clock per ogni satellite. La stazione principale invia i dati orbitali e le correzioni ai clock a ciascun satellite che a loro volta inviano sottoinsiemi dei dati ai ricevitori GPS per mezzo di segnali radio.
Il segmento spaziale
Il segmento spaziale (space segment - SS) e' composto dai satelliti GPS orbitanti (Space Vehicles - SV ), ma con quelli che orbitano per la sicurezza del sistema sembra che siano 32 i satelliti attualmente in esercizio tra 18.000 e 22.000 km dalla superficie terrestre.
Ci sono sei piani orbitali ciascuno con 4 satelliti, distanziati di 60 gradi nell'orbita, e inclinati circa 55 gradi rispetto al piano equatoriale, ciascun satellite impiega circa 12 ore per compiere un'orbita completa.
Questa costellazione fornisce all'utente la capacità di ricevere il segnale di 5-8 satelliti per quasi il 100% del tempo in qualsiasi posizione sulla Terra.
Su ciascun satellite gli orologi al cesio scandiscono il tempo con una precisione di 1 su 1014, l'errore massimo al giorno (86400 secondi) e'
86400 / 1014 = 0,86 ns
Ci sono dei trasmettitori attivati dagli orologi che inviano segnali orari sincroni, etichettati con la posizione e l'ora dell'evento di trasmissione, in modo che un ricevitore vicino alla terra sia in grado di determinare la propria posizione e poi decodificando i messaggi di navigazione da quattro satelliti per trovare le coordinate degli eventi di trasmissione, e quindi risolvere simultaneamente quattro equazioni di propagazione.
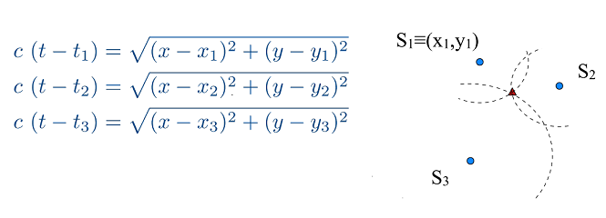
Come si determina la posizione con il GPS.
In un approccio notevolmente semplificato dico che ogni satellite invia dei segnali con il seguente contenuto: Io sono il satellite X, la mia posizione e' Y e questa informazione e' stata inviata al momento Z.
Oltre alla propria posizione, ogni satellite invia i dati relativi alla posizione degli altri satelliti. Questi dati orbitali (effemeridi e dati di almanacco) vengono memorizzati dal ricevitore GPS per i calcoli successivi.
Per la determinazione della sua posizione sulla terra, il ricevitore GPS confronta il tempo quando il segnale e' stato inviato dal satellite con il tempo del segnale e' stato ricevuto, da questa differenza di tempo puo' essere calcolata la distanza tra ricevitore e satellite.
Se i dati di altri satelliti possono essere presi in considerazione la reale posizione del ricevitore puo' essere calcolata con trilaterazione (cioe' la determinazione di una distanza da tre punti), cio' significa che almeno tre satelliti sono necessari per determinare la posizione del ricevitore GPS sulla superficie terrestre. Il calcolo di una posizione da tre segnali satellitari e' chiamato posizione 2D fissa (determinazione della posizione bidimensionale). e' solo bidimensionale perché il ricevitore deve presumere che si trova sulla superficie della terra (su un piano superficie bidimensionale). Per mezzo di quattro o più satelliti puo' essere determinata una posizione assoluta in uno spazio tridimensionale, la correzione della posizione 3D dà come risultato anche l'altezza sopra la superficie terrestre.
Semplificando, la determinazione della posizione per mezzo di un GPS funziona secondo il principio del campionamento, ad esempio come puo' essere misurata la distanza dei temporali: il tempo e' misurato tra un fulmine e il tuono che segue. La velocità della luce e' così alta che il ritardo tra il momento in cui il lampo colpisce l suolo e il tempo in cui l'osservatore vede il lampo puo' essere trascurata.
La velocità del suono nell'atmosfera terrestre e' di circa 340 m/s. Cio' significa che, per esempio, una differenza di 3 secondi tra lampo e tuono corrisponde a circa 1 km di distanza del temporale.
Tuttavia, questa procedura non e' ancora una determinazione della posizione, ma solo una determinazione di una distanza. Se persone diverse in posizioni fisse potessero determinare l'intervallo di tempo tra lampi e tuoni, cio' permetterebbe la determinazione della posizione in cui il fulmine ha colpito la terra!
Nel seguito fornisco una spiegazione molto semplificata su come funziona la determinazione della posizione tramite GPS. Nel primo passaggio si assume che la terra sia un disco a due dimensioni per fare alcuni schizzi comprensibili e molto semplificati, poi il principio puo' essere trasferita al modello di un globo tridimensionale.
Nell'esempio il tempo necessario ad un segnale per viaggiare dal primo dei due satelliti al ricevitore e' stato misurato in 4 s. (In realtà, questo valore e' troppo elevato. Poiché i segnali viaggiano alla velocità della luce (299 792 458,0 m / s), l'intervallo di tempo effettivo per segnali dal satellite al ricevitore e' di circa 0,07 s. ) Sulla base di questa informazione, si puo' dire che il ricevitore sia posizionato da qualche parte su un cerchio con un raggio di 4 sec luce attorno al primo satellite (cerchio di sinistra).
Se eseguiamo la stessa procedura con un secondo satellite (cerchio di destra), otteniamo due punti di intersezione, e su uno dei due punti deve essere situato il ricevitore. Ora abbiamo utilizzato due satelliti e si puo' supporre che il ricevitore si trovi da qualche parte vicino alla superficie della terra e non in profondità nello spazio, in modo che possiamo trascurare il punto B e sapere che il ricevitore si deve trovare sul punto A. L'area nella figura in grigio sfumato e' la regione in cui i segnali GPS si suppone siano "realistici" e le posizioni al di fuori di questa zona vengono scartati, quindi il ricevitore e' nel punto B.
Questa assunzione sostituisce il terzo satellite che sarebbe teoricamente necessario per il processo di trilaterazione. In questo esempio una posizione inequivocabile e' ottenuto da due soli satelliti.
Così abbiamo solo bisogno di un terzo satellite per una terza dimensione e basta? Beh, in linea di massima sì, ma il problema risiede nella determinazione dell'esatta tempificazione dei segnali. Come spiegato sopra, i satelliti inseriscono una sorta di timbro tempificato su ogni pacchetto di dati trasmesso. Sappiamo che tutti gli orologi dei satelliti siano assolutamente precisi (sono gli orologi atomici, dopo tutto) ma il problema e' l'orologio nel nostro ricevitore GPS. A tutt'oggi gli orologi atomici sono troppo costosi ed ingombranti, i nostri ricevitori GPS si basano su orologi al quarzo convenzionali, che sono relativamente imprecisi e questo nella pratica cosa significa?
Restiamo al nostro esempio e supponiamo l'orologio nel nostro ricevitore sia di 0,5 secondi in anticipo rispetto al clock del satellite. Il tempo di esecuzione del segnale sembra essere 0,5 s più lungo di quanto non sia in realtà. Cio' fa ipotizzare che siamo sul punto B al posto del punto A. I cerchi che si intersecano nel punto B sono chiamati pseudoranges, fintanto che nessuna correzione degli errori di sincronizzazione (distorsione) degli orologi sia stata eseguita.
A seconda della precisione dell'orologio nel ricevitore GPS la posizione determinata sarà più o meno sbagliata e nella pratica della navigazione basata sul GPS questo significherebbe che nessuna posizione determinata puo' mai essere di qualche utilità, dato che i tempi di esecuzione dei segnali sono così brevi che qualsiasi errore dell'orologio ha un enorme influenza sul risultato.
Un errore di clock di 1/100 di secondo, che e' difficile da immaginare, ma abbastanza comune nelle gare automobilistiche o nelle gare sciistiche, in un GPS di navigazione porta ad un errore nella posizione di circa 3000 km, e per ottenere una precisione di 10 m il tempo di esecuzione del segnale deve essere preciso per 0,00000003 secondi o di 0,03 milionesimi di secondo.
Dato che gli orologi atomici non sono un'opzione in un ricevitori GPS, il problema risolto in un altro modo e molto elegante:
Se un terzo satellite viene preso in considerazione per il calcolo della posizione si ottiene un altro punto di intersezione: nel caso che tutti gli orologi fossero assolutamente precisi si otterrebbe il punto A corrispondente alla posizione effettiva del ricevitore.
Nel caso che il clock del ricevitore sia in anticipo di 0,5s sono ottenuti i tre punti di intersezione in B. In questo caso, l'errore dell'orologio risalta immediatamente. Se ora il clock del ricevitore viene spostato fino a quando i tre punti di intersezione B si uniscono ad A, l'errore di clock viene corretto e il clock del ricevitore e' sincronizzato con gli orologi atomici dei satelliti.
Il ricevitore GPS puo' ora essere considerato come un orologio atomico e le distanze dai satelliti, precedentemente considerate quasi esatte, ora corrispondono alle distanze effettive e la posizione determinata e' accurata.
Nel caso dell'esempio - un mondo bidimensionale discoidale, abbiamo quindi bisogno di tre satelliti per una determinazione inequivocabile della nostra posizione ma nel mondo reale, che ha una dimensione ulteriore, avremmo bisogno di un quarto satellite per determinare l'altezza.
Bene, allora perché si e' sempre detto che tre satelliti sono sufficienti? In pratica si ottiene la determinazione della posizione bidimensionale (2D-fix) con tre satelliti. La posizione e' destinata ad essere situata sulla superficie terrestre.
Il quarto satellite e' il Geocenter; la distanza dal "quarto satellite" corrisponde a 6360 km (il raggio del pianeta). Con cio' viene fornito il quarto satellite necessario per il calcolo, ma il calcolo e' limitato ad una posizione sulla superficie terrestre. Tuttavia la Terra non e' una sfera perfetta ed in questo caso la superficie della terra significa il geoide terra, corrispondente al livello del mare. Se il ricevitore si trova su una montagna, la posizione determinata di nuovo e' afflitto da una inesattezza, in quanto il tempo di esecuzione dei segnali satellitari e' sbagliato.
Ricalcolando costantemente la sua posizione, il ricevitore GPS puo' inoltre determinare la velocità e la direzione di un movimento (denominato "velocità a terra" e "traccia terrestre").
Un'altra possibilità di determinare la velocità e' di utilizzare l'effetto Doppler che si verifica a causa del movimento del ricevitore durante la ricezione dei segnali. Il principio e' lo stesso che per una sirena in movimento su una macchina della polizia: il suono e' più alto quando la macchina si muove verso l'ascoltatore ed e' più basso quando la macchina si allontana.
Le equazioni, molto semplificate, che permettono ad un ricevitore GPS di conoscere dove si trova sono queste e servono per una superfice piana e senza considerare l'altezza e altre perturbazioni sia di clock che di frequenza.
E' abbastanza facile calcolare che un errore di 0.86 nsec porta ad una imprecisione di 34 cm nella determinazione del punto di ricezione.
Il tempo, il GPS e la relatività
Il principio alla base del GPS e' dunque la misura della distanza o "tempo luce" tra ricevitore ed i satelliti se i satelliti ci sanno dire esattamente dove sono nelle loro orbite sopra la Terra.
Ma abbiamo due problemi: I segnali sono inviati via onde radio e i satelliti si muovono con varie modalità rispetto ai ricevitori che a loro volta non sono fermi, dunque il problema e' che misurando il tempo devono essere presi in considerazione gli spostamenti Doppler, gli spostamenti di frequenza gravitazionali, i ritardi di propagazione e le conseguenze relativistiche in modo che l'utente possa determinare la posizione dei satelliti con precisione. Un errore di un miliardesimo di secondo nella valutazione del tempo corrisponde ad un errore di posizione di 30 cm.
Il GPS e' uno dei primi sistemi tecnologici, escludendo gli acceleratori ad alta energia, su cui ha effetti importanti la relatività. Quando il primo satellite fu lanciato nel 1979 erano veramente moltissime le polemiche circa l'applicazione della teoria della Relatività Speciale e Generale di Einstein e precisamente :
- Per la relatività ristretta: i satelliti si muovono rispetto al ricevitore, e il loro orologio rallenta
- Per la relatività generale: i campi gravitazionali cambiano sia la velocità degli orologi che la propagazione dei segnali radio
- La terra ruota su se stessa, inducendo ulteriori effetti molto più raffinati.
Alla base del sistema GPS, c'e' il postulato fondamentale della teoria della relatività, ovvero il fatto che la velocità della luce (e quindi la velocità di tutti i segnali radio) e' costante, e indipendente dal moto della sorgente e del ricevitore cioe' dei sistemi di riferimento.
Come detto sopra la posizione del ricevitore e' determinata facendo una triangolazione ottenuta misurando il tempo di percorrenza del segnale emesso da alcuni satelliti in orbita terrestre.
D=cΔt
(La distanza e' il prodotto della velocità della luce per il tempo impiegato.)
Se fosse vera la fisica di Galileo·Newton la velocità di un segnale emesso da un satellite in orbita dipenderebbe dalla direzione e dalla velocità del satellite, cioe' se si avvicina o si allontana, rendendo quasi impraticabile il calcolo e la possibilità di avere un sistema GPS.
Il tempo, la velocità ed il sistema di riferimento
Il primo satellite conteneva, quando fu messo in orbita, un orologio atomico al cesio ma c'era un sacco di gente, anche accademici, che dubitavano che gli effetti della relatività fossero reali, per questo fu inserito un sintetizzatore di frequenza nel sistema dell'orologio satellitare in modo che dopo il lancio fosse possibile regolare il suo ritmo al tasso previsto dalla relatività generale.
L'orologio di bordo fu fatto lavorare per circa 20 giorni senza accendere il sintetizzatore e la misura della frequenza nel corso di tale intervallo e' stata di 442,5 parti su 1012 più veloce degli orologi a terra. Se non fosse avvenuta alcuna correzione questo avrebbe provocato errore di circa 38.000 nanosecondi al giorno (11,4 Km). La frequenza prevista dalla relatività generale era solo entro 3.97 parti su 1012 che era entro le capacità di precisione dell'orologio orbitante.
Non e' facile in questo momento eseguire il test della relatività utilizzando il GPS, perché gli orologi satellitari sono costantemente corretti entro 1 microsecondo del Tempo Universale Coordinato (Universal Coordinated Time - UCT).
Ci sono diversi motivi che rendono importante la teoria della relatività nel sistema GPS:
- I satelliti GPS hanno una grande velocità.
- E' notevole la differenza di gravitazione tra quella dei satelliti e quella degli utenti al suolo.
- Vi e' un significativo effetto della rotazione della Terra.
Questi effetti da soli potrebbero non essere così importanti, ma dato che i satelliti GPS sono dotati di orologi atomici gli effetti relativistici debbono essere presi in attenta considerazione.
Ci sono tre conseguenze principali degli effetti della relatività:
- C'e' uno spostamento costante nella frequenza del clock del satellite quando e' osservato dalla Terra. La maggior parte dell'effetto e' volutamente rimosso spostando leggermente la frequenza degli orologi dei satelliti prima del lancio, la cosiddetta "compensazione fabbrica" del clock.
- La leggera eccentricità di ogni orbita di ciascun satellite provoca un ulteriore errore periodico del clock che varia con la posizione del satellite nel suo piano orbitale.
- Ci sono anche effetti (Sagnac delay) causati dalla rotazione della Terra durante il tempo di transito del segnale satellitare dal satellite alla terra.
Gli orologi funzionanti a terra vanno a 10.23000O0000O MHz, mentre quelli sui satelliti sono sincronizzati a 10.22999999543,26 MHz
Una ulteriore correzione deve essere fatta per gli utenti che si spostano sulla superficie terrestre o vicino ad essa e gli utilizzatori fermi sulla superficie terrestre o ad una certo altitudine, la correzioni e' dovute alla loro velocità e all'altezza dal livello zero del geode terrestre.
L'effetto netto della relatività su un satellite GPS con nessuna eccentricità nella sua orbita e' una combinazione degli effetti causati dalla velocità del satellite (effetto Relatività Speciale) e del campo gravitazionale terrestre (effetto Relatività Generale), questi effetti producono un piccolo spostamento fisso nella frequenza oltre al classico spostamento Doppler.
Uno degli effetti della teoria della relatività ristretta di Einstein e' la dilatazione del tempo, gli orologi in movimento ad alta velocità corrono più lentamente degli orologi con velocità relativa più piccola. Pertanto, gli orologi dei satelliti GPS si muovono più lentamente in confronto con gli orologi sulla Terra perché i satelliti GPS hanno una grande velocità. Nel dettaglio il paragone dei cicli che tengono gli orologi satellitari nel confronto agli orologi statici sono dati dalle formule:
Te2 = (1 - Ve2/c2)Ts2
e
Tg2 = (1 - Vg2/c2)Ts2
dove
Te e' l'ora corretta dell'orologio sulla superficie della Terra
Ve e' la velocità lineare dell'orologio dovuta alla rotazione della Terra
Ts e' l'ora corretta dell'orologio statico
Tg e' l'ora corretta dell'orologio del satellite GPS
Vg e' la velocità lineare del satellite GPS in orbita.
Percio' il rapporto con cui l'orologio lavora puo' essere derivata dalle formule di cui sopra:
Te2/Tg2 = (1 - Ve2/c2) / (1 - Vg2/c2)
Questo effetto ha un valore fisso, gli orologi dei satelliti GPS rallentano di 6 milionesimi di secondo al giorno (1800m).
L'effetto della relatività generale e' che gli orologi a maggiore altitudine al di sopra della Terra corrono più velocemente degli orologi posizionati sulla superficie della Terra.
Dalla metrica di Schwarzschild (chiamato anche raggio di Schwarzschild o raggio gravitazionale) possiamo calcolare il ritmo a cui gli orologi di particolare interesse lavorano in confronto con gli orologi a distanza infinita dalla sorgente del campo gravitazionale. Consente di confrontare i ritmi di due orologi statici: uno sulla superficie della Terra e di altri nel satellite GPS.
Per un orologio statico:dT2 =-dS2 = (1 - R/r)dTi2
dove
T e' l'ora corretta dell'orologio che ci interessa
Ti e' l'ora corretta dell'orologio lontano a distanza infinita
e
R = 2MG/c2
dove
M e' la massa del terra
G e' la costante gravitazione newtoniana
c e' la velocità della luce.
Pertanto il rapporto tra le velocita' a cui l'orologio sulla superficie della Terra e quello sul satellite GPS lavorano e' dato dalla formula:
dTe2/dTg2 = (1 - R / re) / (1 - R / T),
</p> dove
ri e' il raggio della Terra
rg e' la distanza dal centro della Terra al satellite GPS.
Anche questo effetto ha un valore fisso. Gli orologi dei satelliti GPS corrono veloci di 45 milionesimi di secondo al giorno.
Quindi combinando gli effetti della Relatività Speciale e Generale si conclude che l'orologio nei satelliti GPS corre più veloce di 39 milionesimi di secondo al giorno che, se non preso in considerazione potrebbe produce un errore di posizione di circa 12 chilometri.
I satelliti GPS non seguono una rigorosa orbita circolare intorno alla terra, ma seguono un'orbita con una lieve eccentricità che provoca uno scostamento periodico del clock che varia con la posizione dei satelliti in orbita.
Consideriamo le due posizioni del satellite in orbita (posizione 1 e posizione 2 nella figura), come si puo' vedere la distanza dalla Terra d1 del satellite in Posizione1 non e' uguale alla distanza dalla Terra d2 dal satellite in posizione 2, questo ci dice che vi e' anche una differenza di velocità del satellite in queste due posizioni.
La velocità del satellite nella posizione 2 e' più grande della velocità del satellite nella posizione 1, quindi esiste un diverso effetto della relatività speciale e generale nei vari punti dell'orbita dei satelliti intorno alla Terra. I satelliti GPS in orbita attorno alla Terra seguono un percorso molto vicino al cerchio, questi errori periodici sono molto piccoli ma hanno valori fissi e possono essere inclusi nel calcono del sistema.
La simultaneita'
La simultaneità e' un concetto molto importante nel sistema GPS, gli utenti al fine di determinare la propria posizione devono essere sincronizzati con l'ora dell'orologio nel satelliti GPS. Se usassimo un sistema di riferimento inerziale gli orologi potrebbero essere sincronizzati utilizzando le procedure di sincronizzazione di Einstein (se i raggi di luce emessi da due punti diversi arrivano al punto medio di tali punti allo stesso tempo, allora gli eventi o la trasmissione del raggio luminoso dai due punti originali si sono verificati simultaneamente).
Tuttavia gli utenti del GPS sono in movimento (la terra e' in rotazione) e si ha un effetto non inerziale, consideriamo la situazione illustrata nella figura. Gli orologi A, B, C, e D ruotano attorno ad alcuni orologi fissi E, le velocità degli orologi sono date da Va, Vb, Vc, Vd, inoltre tutte le velocità sono uguali ed esiste una accelerazione centripeta che provoca che gli orologi si muovano attorno all'orologio E e quindi la direzione delle velocità stanno cambiando rispetto alle coordinate dell'asse X rappresentato nel diagramma).
L'effetto Sagnac gioca un ruolo importante nel sistema, sarebbe auspicabile per sincronizzare gli orologi nel riferimento rotante fisso sulla Terra perché la maggior parte di utenti GPS sono fermi o quasi sulla superficie terrestre, ma la terra ruota, e l'effetto Sagnac e' abbastanza grande negli orologi GPS e non puo' essere sincronizzato nel sistema rotante e vi e' la necessità di un diverso approccio per sincronizzare gli orologi.
Proviamo a disegnare un diagramma spazio-tempo nel sistema di riferimento dell'orologio E dal diagramma nella figura predente, scegliamo un particolare istante di tempo in cui la velocità dell'orologio A e' in direzione X, la velocità dell'orologio C e' nella direzione opposta alla direzione E le velocità degli orologi B e D nella direzione X e' uguale a zero.
Questa situazione e' illustrata nella figura precedente, ed il diagramma spazio-tempo si presenta così:
Si noti che le velocità degli orologi D e B sono pari a zero così le loro linee di mondiali sono parallele alla linea mondiali dell'orologio E e linee di simultaneità sono le stessi di quelle per l'orologio E.
Che cosa significa per gli orologi A, B, C, e D essere sincronizzati? In qualsiasi punto nel tempo tutti questi orologi dovrebbe mostrare contemporaneamente lo stesso tempo coordinato. Diciamo che usiamo sistema di riferimento dell'orologio A. Vediamo il diagramma. Consideriamo per l'orologio A una qualche linea di simultaneità (ta = 0 nel nostro schema).
I punti J e L rappresentano incroci con le linee mondiali degli orologi B e D. Se gli orologi sono sincronizzati, gli orologio B e D nei punti J e L dovrebbero leggere lo stesso tempo dell'orologio A (ta = 0).
Abbiamo potuto vedere chiaramente dalla figura che quando l'orologio A legge il tempo ta = 0, l'orologio B legge il tempo te> 0 e l'orologio D legge il tempo te<0. La stessa analisi si applica nel sistema di riferimento dell'orologio C (punti M e K su linee mondiali degli orologi D e B).
Pertanto non siamo in grado di sincronizzare l'orologio utilizzando qualsiasi sistema di riferimento rotante.
La sincronizzazione del GPS viene eseguita nel sistema inerziale geocentrico con costanza della velocità della luce.
In aggiunta agli effetti relativistici spiegati sopra esistono effetti causati dalla velocità dell'utente e all'altezza dell'utente sopra il geoide terrestre. Alcuni di questi effetti potrebbero annullarsi o parzialmente annullarsi nella stima della posizione, tuttavia questi effetti possano essere significativi se l'utente e' un altro satellite in orbita.
Esistono anche altri effetti secondari che sono più piccoli del livello di precisione richiesto dall'utente. Esiste anche un effetto potenziale sugli orologi conseguenza della rotazione della Terra che gira intorno al sole e quindi esposti al campo gravitazionale del sole. Tuttavia, sia i satelliti GPS che l'utente sono in orbita attorno al Sole a quasi nella stessa posizione in questo modo molto di questo effetto si annulla.
Il potenziale gravitazionale della Terra non e' sferico a causa della forma ellissoidale della Terra, che causano effetto che non viene modellizzato nel sistema (effetto di campo di quadrupolo), tuttavia questo effetto e' anche molto piccole, ma se fosse desiderabile dal sistema GPS una maggiore precisione allora anche questo effetto dovrebbe essere preso in considerazione. Se questo effetto non viene presa in considerazione il potenziale gravitazione della Terra (F) e' dato dalla formula:
F = -G * Me / r
dove
G e' la costante gravitazionale newtoniana
Me e' la massa della Terra
R e' la distanza dal punto di osservazione al centro della Terra.
Questa formula e' coerente con la forma sferica della Terra, se vogliamo tenere conto della forma ellissoidale della Terra, estendiamo la formula per spiegare il fattore 1/r2. Pertanto,
F = (GME/r) * [1 - J2 (Re / r)2 P2 (cos Q)],
dove
J2 e' la Terra quadrupolo coefficiente di momento,
Re e' il raggio equatoriale della Terra e
P2(x) = (3x2 - 1)/2 e' il polinomio di Legendre di secondo grado.
Questa estensione e' sufficiente per la precisione desiderabile nel GPS, ma se le applicazioni militari richiederanno sempre più alti gradi di precisione dal sistema GPS il potenziale di gravitazione potrebbe dover essere esteso per tenere conto della non perfetta forma ellissoidale della Terra (questo significa che maggiori reciproci della potenza di r dovranno essere inseriti nella formula).
Un altro effetto degli orologi dei satelliti GPS e' così chiamato ritardo di Shapiro. La causa di questo ritardo e' che la velocità della luce cambia quando e' esposta al campo gravitazionale terrestre. Questo ritardo e' stato misurato sperimentalmente ed e' stato dimostrato che puo' ora essere trascurato.
Un altro effetto sugli orologi e' causato dalla massa della Terra che ruota sul suo asse (sistema di trascinamento di Lense-Thirring). Questo effetto modifica leggermente la soluzione alle equazioni di Einstein e genera misure leggermente diverse, tuttavia questi effetti sono trascurabili ai fini del GPS civile.
Gli effetti relativistici nel sistema GPS sono molto importanti, ma se sarà necessaria una maggiore precisione sara' necessario implementare nella soluzione gli effetti secondari assieme agli effetti primari della relatività.
Attualmente l'incertezza della posizione utilizzando il Preciso Codice di posizionamento (Precise Positioning Code PPC) e' di circa 2 / 4 metri ma un sacco di persone sono interessate a ridurre l'errore al livello di millimetro.
Anche se il sistema non e' di tale elevata precisione, fornisce ancora molti esempi per le applicazioni della relatività.
Nuove e sorprendenti applicazioni della determinazione di posizionamento e del tempo di trasferimento su base GPS sono continuamente inventate. Applicazioni civili includono, per esempio, il monitoraggio elefanti in Africa, gli studi dei movimenti delle placche crostali, topografia, cartografia, esplorazione, operazioni di salvataggio in mare aperto, monitoraggio del parco veicoli, ricerca e soccorso, localizzazione dei guasti delle linee elettriche, e la sincronizzazione dei nodi delle telecomunicazioni.
Uso dei sistemi GPS in ambito geofisico
Personalemente sono molto interessato all'uso dei sistemi GPS per tenere sotto controllo l'ambiente. Con una rete di costo moderato e' possibile gestire continuamente senza errori ne' dimenticanze i movimenti sia quelli di tipo tettonico che quelli dovuti a fattori locali. Nel passato, molto lontano, ho realizzato programmi per valutare le spinte che le placche nei loro movimenti portano alla rottura delle faglie e alla fine a provocare terremoti. Ma con i dati rilevabili manualmente era una impresa solo teoricamente possibile.
Sono di particolare interesse le deformazioni "COSMICHE" che si verificano in corrispondenza di un terremoto, e di quelle “post-sismiche” che avvengono dopo il sisma. I dati GPS sono diversi e complementari rispetto a quelli forniti dalla sismologia e dalla geologia, misurano con notevole precisione gli spostamenti dei punti terrestri dovuti al terremoto, con questi dati si può realizzare un modello della faglia “responsabile” del terremoto, risalire alla sua posizione, all'estensione ed alla distribuzione del movimento sulla faglia stessa.
Non e' impossibile pensare che, valutando esattamente i movimenti delle faglie e la loro velocita', si possa in un futuro non dico prevedere i terremoti ma valutare meglio la probabilita' che un evento colpisca un territorio in un certo intervallo temporale.
Ulteriori sviluppi importanti nel prossimo futuro potranno arrivare in svariati settori, in particolare nell’ambito del monitoraggio di frane ed infrastrutture quali ponti, strade e insediamenti urbani.
Bibliografia
- Neil_Ashby_Relativity_GPS.pdf -- Relatività Generale nel Global Positioning System
- Alternative Physics - table of contents.htm -- A free on-line book containing classical alternatives to modern physics theory
- will.cfm.htm -- Einstein's Relativity and Everyday Life
- AccurateClocksVig.pdf -- Accurate Clocks and Their Applications
- nelson.pdf -- GPS Time as Critical Infrastructure Application
- TPT11.pdf -- Relativistic Effects on Clocks Abroad GPS Satellites
- Vol 28_16.pdf -- GPS and relativity: an engineering overview
- gpssps1.pdf -- GLOBAL POSITIONING SYSTEM STANDARD POSITIONING SERVICE SIGNAL SPECIFICATION
- ch7.pdf -- Relativistic Effects
- Ashbyarticle.pdf -- Relativistic Effects in the Global Positioning System

Elettrotecnica e non solo (admin)
Un gatto tra gli elettroni (IsidoroKZ)
Esperienza e simulazioni (g.schgor)
Moleskine di un idraulico (RenzoDF)
Il Blog di ElectroYou (webmaster)
Idee microcontrollate (TardoFreak)
PICcoli grandi PICMicro (Paolino)
Il blog elettrico di carloc (carloc)
DirtEYblooog (dirtydeeds)
Di tutto... un po' (jordan20)
AK47 (lillo)
Esperienze elettroniche (marco438)
Telecomunicazioni musicali (clavicordo)
Automazione ed Elettronica (gustavo)
Direttive per la sicurezza (ErnestoCappelletti)
EYnfo dall'Alaska (mir)
Apriamo il quadro! (attilio)
H7-25 (asdf)
Passione Elettrica (massimob)
Elettroni a spasso (guidob)
Bloguerra (guerra)